3

Let $0< \lambda < 1$ and $0< \beta < \lambda/2$. I would like to integrate, $$\int_{0}^{\infty} \big( |y + 1|^{\lambda - 1} - |y|^{\lambda - 1} \big) y^{-\beta} dy,$$ this integral is finite because for $y \rightarrow \infty,~(|x+y|^{\lambda - 1} - |y|^{\lambda - 1})y^{-\beta} \approx y^{\lambda - \beta - 2}.$ Integral of $|y + 1|^{\lambda - 1}y^{-\beta}$ can be calculated and it's equal to Beta function that is, $$ \int_{0}^{\infty} |y + 1|^{\lambda - 1}y^{-\beta} dy = B(1 - \beta, \beta - \lambda).$$

I would really appreciate any hints or tips.

  • 1
    Regarding to proposed update: Please note that when we make change of variable $s=\frac{1}{1+t}$ we do get the minus - due to $ds=-\frac{dt}{(1+t)^2}$, - but we also have another minus due to the change of limits of integration: $\int_0^{\infty}\to\int_1^0=-\int_0^1$. Integral has a negative value: it is clear from the initial view ($(1+y)^{\lambda-1}-y^{\lambda-1}<0$) – Svyatoslav Apr 29 '21 at 10:02
  • 2
    Also, the convergence condition should be $0<\lambda-\beta<1$. – metamorphy Apr 29 '21 at 10:10
  • 1
    As promised, placed the info regarding the Pochhammer contour and analytically continued Beta-function. In fact, this is a powerful tool to to evaluate specific type of integral (yours is an example, and not the most complicated one ;) – Svyatoslav Apr 30 '21 at 07:40

2 Answers2

4

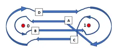
This is related to Pochhammer contour and a bit long for adding to the previous post.

The contour P looks like enter image description here

The path consists of the line from $r$ to $1-r\,$ ($r\to0$) on the axis $X$ and small circles of radius $r\to0$ around points $x=0$ and $x=1$.

We start with the integrand $t^{x-1}(1-t)^{y-1}$; and let $I_r=\int_r^{1-r}t^{x-1}(1-t)^{y-1}dt$

  1. Integral along the path A: $I_A=-I_r$ (we go in the negative direction).

Integral around $0$ (counter clockwise): $\int_0^{2\pi}r^{x-1}e^{i\phi(x-1)}(1-re^{i\phi})^{y-1}ire^{i\phi}d\phi$. After the full turn the integrand gets the multiplier $e^{2\pi ix}$

  1. Integral along the path B: $I_B=+I_re^{2\pi ix}$

Integral around $1$ (counter clockwise): $-e^{2\pi ix}\int_0^{2\pi}(1-re^{i\phi})^{x-1}r^{y-1}e^{i\phi(y-1)}ire^{i\phi}d\phi$ (minus - due to $dt=d(1-re^{i\phi})=-ire^{i\phi}$. After the full turn - an additional multiplier ($e^{2\pi iy}$)

  1. Integral along the path C: $I_C=-I_re^{2\pi ix}e^{2\pi iy}$

Integral around $0$ (clockwise): $e^{2\pi ix}e^{2\pi iy}\int_0^{-2\pi}r^{x-1}e^{i\phi(x-1)}(1-re^{i\phi})^{y-1}ire^{i\phi}d\phi$. After the full turn - an additional multiplier ($e^{-2\pi ix}$) which cancels $e^{2\pi ix}$.

  1. Integral along the path D: $I_D=+I_re^{2\pi iy}$

Integral around $1$ (clockwise): $-e^{2\pi iy}\int_0^{-2\pi}(1-re^{i\phi})^{x-1}r^{y-1}e^{i\phi(y-1)}ire^{i\phi}d\phi$. After the full turn - an additional multiplier ($e^{-2\pi iy}$) which cancels remaining $e^{2\pi iy}$.

We are coming back to the starting point and getting the initial integrand $t^{x-1}(1-t)^{y-1}$.

Considering integration along the full closed contour (taking all together) we get $$\oint_Pt^{x-1}(1-t)^{y-1}dt=-\Bigl(e^{2\pi ix}-1\Bigr)\Bigl(e^{2\pi iy}-1\Bigr)I_r$$ $$-\Bigl(e^{2\pi iy}-1\Bigr)\int_0^{2\pi i}r^xe^{i\phi x}(1-re^{i\phi})^{y-1}id\phi-\Bigl(e^{2\pi ix}-1\Bigr)\int_0^{2\pi i}(1-re^{i\phi})^{x-1}r^ye^{i\phi y}id\phi$$ $$B(x,y)=-\frac{1}{(\exp(2\pi{i}x)-1)(\exp(2\pi{i}y)-1)}\oint_Pt^{x-1}(1-t)^{y-1}dt$$ $$=I_r+\frac{1}{e^{2\pi ix}-1}\int_0^{2\pi i}r^xe^{i\phi x}(1-re^{i\phi})^{y-1}id\phi+\frac{1}{e^{2\pi iy}-1}\int_0^{2\pi i}(1-re^{i\phi})^{x-1}r^ye^{i\phi y}id\phi$$ $$=I_r+\frac{1}{e^{2\pi ix}-1}\int_1^{e^{2\pi i}}r^xt^{x-1}(1-rt)^{y-1}dt+\frac{1}{e^{2\pi iy}-1}\int_1^{e^{2\pi i}}(1-rt)^{x-1}r^xt^{y-1}dt$$ $$=I_r+I(x,y)+I(y,x)$$ where $$I(x,y)=\frac{1}{e^{2\pi ix}-1}\int_1^{e^{2\pi i}}r^xt^{x-1}(1-rt)^{y-1}dt$$ $$=\frac{1}{e^{2\pi ix}-1}\int_1^{e^{2\pi i}}r^xt^{x-1}\bigl(1-rt(y-1)+(y-1)(y-2)\frac{r^2t^2}{2!}+...\bigr)dt$$ $$=\frac{r^x}{x}-\frac{r^{x+1}}{x+1}(y-1)+\frac{r^{x+2}}{x+2}\frac{(y-1)(y-2)}{2!}+...$$

So, analytically continued Beta-function $$B(x,y)=\lim_{r\to0}\int_r^{1-r}t^{x-1}(1-t)^{y-1}dt+\frac{r^x}{x}-\frac{r^{x+1}}{x+1}(y-1)+\frac{r^{x+2}}{x+2}\frac{(y-1)(y-2)}{2!}+...+\frac{r^y}{y}-\frac{r^{y+1}}{y+1}(x-1)+\frac{r^{y+2}}{y+2}\frac{(x-1)(x-2)}{2!}+...$$

For $x,y>0$ Beta-function has its usual expression $$B(x,y)=\int_0^1t^{x-1}(1-t)^{y-1}dt$$ For $x\in(-1,0)$ and $y>0$ we immediately get $$B(x,y)=\lim_{r\to0}\int_r^1t^{x-1}(1-t)^{y-1}dt+\frac{r^x}{x}$$ and, for example, for $x\in(-1,0)$ and $y\in(-1,0)$ $$B(x,y)=\lim_{r\to0}\int_r^{1-r}t^{x-1}(1-t)^{y-1}dt+\frac{r^x}{x}+\frac{r^y}{y}$$

This approach allows to evaluate integrals, if they can be expressed in terms of the difference of divergent integrals - via the difference Beta-functions of negative arguments.

Svyatoslav
  • 20,502
3

This integral can be written in the closed form via Beta-function of negative arguments.

Let's consider $I=\int_{0}^{\infty} \big( (y + x)^{\lambda - 1} - y^{\lambda - 1} \big) y^{-\beta} dy\,\,, \lambda\in(0,1)$ and $\beta\in(0,\lambda/2)$

Making change $y=xt$ $$I(x, \lambda, \beta)=x^{\lambda-\beta}\int_{0}^{\infty} \big( (1 + t)^{\lambda - 1} - t^{\lambda - 1} \big) t^{-\beta} dt$$ Making change $\frac{1}{1+t}=s$ $$I=x^{\lambda-\beta}\int_0^1 \frac{ds}{s^2}\Bigl(\frac{s}{1-s}\Bigr)^{\beta}\biggl(s^{1-\lambda}-\Bigl(\frac{s}{1-s}\Bigr)^{1 - \lambda}\biggr)$$ $$=x^{\lambda-\beta}\int_0^1 s^{\beta-\lambda-1}\Bigl((1-s)^{-\beta}-(1-s)^{\lambda-1-\beta}\Bigr)ds$$ Now we want to evaluate the integral $J(\gamma,\alpha,\alpha')=\int_0^1s^{\gamma-1}\left((1-s)^{\alpha-1}-(1-s)^{\alpha'-1}\right)ds$, where $\gamma\in(-1;0)$ and $\alpha, \alpha'\in(0,1)$.

We introduce the analytical continuation of Beta-function $\Bigl (B(\gamma,\alpha)=\int_0^1s^{\gamma-1}(1-s)^{\alpha-1}ds$, if $\gamma, \alpha >0\,\Bigr)$ for $\boldsymbol{negative}$ $\gamma\in(-1,0)$: $$B(\gamma,\alpha)=-\frac{1}{(\exp(2\pi{i}\alpha)-1)(\exp(2\pi{i}\gamma)-1)}\oint_Ps^{\gamma-1}(1-s)^{\alpha-1}ds$$

where $P$ is Pochhammer contour in the complex plane.

It can be shown (please look at the second post below) that for $\gamma\in(-1;0)$ and $\alpha>0$ $B(\gamma,\alpha)=\lim_{r\to0}(\int_r^1s^{\gamma-1}(1-s)^{\alpha-1}ds+\frac{r^\gamma}{\gamma})$, so $$J(\gamma,\alpha,\alpha')=\int_0^1s^{\gamma-1}\left((1-s)^{\alpha-1}-(1-s)^{\alpha'-1}\right)ds$$$$=\lim_{r\to0}\int_r^1s^{\gamma-1}\left((1-s)^{\alpha-1}-(1-s)^{\alpha'-1}\right)ds=\lim_{r\to0}\left(B(\gamma,\alpha)-\frac{r^\gamma}{\gamma}-B(\gamma,\alpha')+\frac{r^\gamma}{\gamma}\right)$$ $$J(\gamma,\alpha,\alpha')=B(\gamma,\alpha)-B(\gamma,\alpha')$$

It can also be proved that analytically continued Beta-function is expressed in the usual way in terms of Gamma-function: $B(\gamma,\alpha)=\frac{\Gamma(\gamma)\Gamma(\alpha)}{\Gamma(\gamma+\alpha)}$. This expression is valid for all complex $\alpha, \gamma$.

So, in our case we can write $$I(x, \lambda, \beta)=x^{\lambda-\beta}\int_0^1 s^{\beta-\lambda-1}\Bigl((1-s)^{-\beta}-(1-s)^{\lambda-1-\beta}\Bigr)ds$$ $$=x^{\lambda-\beta}\Bigl(B(\beta-\lambda; 1-\beta)-B(\beta-\lambda; \lambda-\beta)\Bigr)=x^{\lambda-\beta}\Bigl(\frac{\Gamma(\beta-\lambda)\Gamma(1-\beta)}{\Gamma(1-\lambda)}-\frac{\Gamma(\beta-\lambda)\Gamma(\lambda-\beta)}{\Gamma(0)}\Bigr)$$ But $\frac{1}{\Gamma(0)}=0\,$, so we get the final result: $$I(x, \lambda, \beta)=x^{\lambda-\beta}\frac{\Gamma(\beta-\lambda)\Gamma(1-\beta)}{\Gamma(1-\lambda)}, \text{where} \,\,\beta-\lambda<0$$ Using $\Gamma(1+\beta-\lambda)=(\beta-\lambda)\Gamma(\beta-\lambda)$ we can also express the integral in terms of Gamma-function of positive argument: $$I(x, \lambda, \beta)=\,-\,x^{\lambda-\beta}\frac{\Gamma(1+\beta-\lambda)\Gamma(1-\beta)}{(\lambda-\beta)\Gamma(1-\lambda)}$$

Svyatoslav
  • 20,502
  • Could You provide reference for proof of: $\gamma\in(-1;0)$ and $\alpha>0$ $B(\gamma,\alpha)=\lim_{r\to0}(\int_r^1s^{\gamma-1}(1-s)^{\alpha-1}ds+\frac{r^\gamma}{\gamma})$ – Interpolated Apr 29 '21 at 08:39
  • 1
    @Wywana It can be derived from the analytical continuation of Beta-function. Probably, it could be found in the internet (though, I could not; I derived it myself). It is not difficult but takes some time: you should consider integration along the Pochhammer contour and accurately go around $s=0$ and $s=1$. I will do it by the end of this day (as a separate post). – Svyatoslav Apr 29 '21 at 09:38