In Jack's answer here, they have the integral $$\int_{0}^{1}\left(-1+\frac{1}{\sqrt{1-u^2}}\right)\frac{du}{u^{3/2}}$$ to which they claim can be evaluated using the substitution $s=u^2$ and the Beta function.
When I perform the substitution, I get the integral $$\frac12\int_0^1\left(-1+(1-s)^{-\frac12}\right)\cdot s^{-\frac54}ds$$
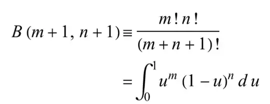
I have spent several hours now attempting to find a way to convert this form to a Beta function, but the definitions on both wikipedia and mathworld do not have this form.
The annoying part of the integrand is of course the $-1$ in the parenthesis, but no matter what I do, I cannot get rid of it. Attempting to separate it into two integrals makes both diverge. However, if I do it anyways, I get this
$$\frac12\int_0^1-s^{-\frac54}+{\color{red}{s^{-\frac54}(1-s)^{-\frac12}}}ds = \frac12\left(\text{divergent}+ {\color{red}{\operatorname{B}\left(-\frac14, \frac12\right)}}\right)$$
Even though both parts are divergent, if I follow the formula I find in mathworld
I get a converging value. Not only this, but this beta function value is exactly the same as part of Jack's answer below
$$\frac{1}{2} \left(4+{\color{red}{\frac{\sqrt{\pi }\Gamma\left(-\frac{1}{4}\right)}{\Gamma\left(\frac{1}{4}\right)}}}\right)$$
Surely this is a coincidence?
Regarding this, I have two questions.
- How do I convert the integrand into one where I can use the beta function?
- What is happening with the diverging values above?
Thank you!
