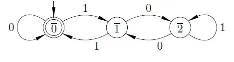
When doing mental calculus one can do:
- Given an integer k, sum all the digits (in base 10), and if the result is a multiple of 3, then k is a multiple of 3.
Do you know of any algorithm working similarily but operating on binary numbers digits (bits)?
At first, I was thinking of using the ready made functions of my language converting integer to ascii to perform the convertion from base 2 to base 10, then apply the mental calculus trick. But of course then I could also encode the base convertion 2 to 10 myself. I have not done it yet, but I'll give it a try.
Then I have thought of euclidian division in base 2...
However I wonder if there are other means, algorithms.
