19

I'm trying to find examples of languages that don't seem regular, but are. A reference to where such examples may be found is also appreciated.

So far I've found two. One is $L_1=\{a^ku\,\,|\,\,u\in \{a,b\}^∗$ and $u$ contains at least $k$ $a$'s, for $k\geq 1\}$, from this post, and the other is $L_2 = \{uww^rv\,\,|\,\, u,w,v\in\{a,b\}^+\}$, which is an exercise (exercise 19 from section 4.3) in An Introduction to Formal Languages and Automata by Peter Linz.

I suppose the aspect of seeming to be regular depends on your familiarity with the topic, but, for me, I would have said that those languages were not regular at a first glance. The trick seems to be to write a simple language in more complicated terms, like using $ww^R$, which reminds us of the irregular language of even length palindromes.

I'm not looking for extremely complicated ways of expressing a regular language, just some examples where the definition of the language seems to rely on concepts that usually make a language irregular, but are then "absorbed" by the other terms in the definition.

user6767509
  • 443
  • 4
  • 11

6 Answers6

25

My favorite example of this, which is often used as a difficult/tricky exercise, is the language: $$L=\{w\in \{0,1\}^*:w \text{ has an equal number of } 01\text{ and }10\}$$ This has the strong flavor of the non-regular "same number of $0$ and $1$", but the alternation of $0$ and $1$ makes it regular nonetheless.

Shaull
  • 17,814
  • 1
  • 41
  • 67
9

For a different kind of example, consider the language consisting of the usual decimal representations of integer multiples of 7, namely $\{ \dots, -14, -7, 0, 7, 14, 21, 28, \dots \}$. This is a regular language. (And in fact, the same would be true with any other positive integer instead of 7; but 7 is a cool example because, unlike with the other small integers, there isn't a commonly-known way to tell if a string of digits represents a multiple of 7 other than doing the division and seeing if the remainder is zero.)


To see why this is a regular language, let's first focus on just decimal representations of positive integers. These representations can be grouped into seven sets: one for the multiples of seven (7, 14, 21, etc.), one for one plus a multiple of seven (1, 8, 15, etc.), one for two plus a multiple of seven (2, 9, 16, etc.), and so on. The important thing is that if we have a string $x$ representing a positive integer and a single digit $d$, then we can figure out which set $xd$ is in based only on $d$ and the set that $x$ is in. For example, if $...348$ represents two plus a multiple of seven, then $...3485$ has to represent four plus a multiple of seven (because if $...348$ represents $2 + 7n$ for some integer $n$, then $...3485$ represents $10(2 + 7n) + 5 = 25 + 7n = 4 + 7(n + 3)$). So we can create a DFA with a separate state for each of these sets (plus an initial state for the empty string), and simply set the "accept" state appropriately in order to have it detect decimal representations of positive multiples of 7.

Extending this to decimal representations of arbitrary multiples of 7 is straightforward; we just need an extra state for leading $0$ (which is an "accept" state with no outbound edges) and an extra state for a leading minus sign (which is equivalent to the initial state except that it doesn't have an outbound edge to itself or the $0$ state).

And likewise for any other positive divisors instead of 7, though obviously there are some divisors that can be handled with fewer states than that.

ruakh
  • 723
  • 4
  • 10
7

Multiples of three, expressed in binary, especially combined with a proof that powers of three, expressed in binary, is not a regular language. (Or in general: multiples of $n$ expressed in base $b$ are regular, whereas powers of $n$ expressed in base $b$ are a regular language iff there exist positive integral $p$ and $q$ such that $b^p = n^q$)

See also numbers (with decimal point, but finite expansion) written in base 10 greater than $x$. (or less than $x$) This is regular if and only if $x$ is rational. That "positive numbers with finite decimal representations less than $\sqrt{2}$" is not a regular language is probably not too surprising, but it might be surprising that "decimal numbers representing a value between $\frac{1}{7}$ and $\frac{2}{7}$" is regular.

Daniel Martin
  • 643
  • 4
  • 14
6

You could get many examples from languages that are finite but don't look it. For example, the language of strings all of whose prefixes are decimal representations of prime numbers is regular because there are only 83 such strings (A024770).

The language of sequences of 0s that appear in the decimal expansion of $π$ is regular. It showed up in a different context in this question.

The language of finite substrings of the decimal expansion of Chaitin's Ω is regular because Ω is provably normal.

benrg
  • 2,511
  • 6
  • 13
1

Building on Daniel Martin's answer, we could try to construct a language that accepts positive rationals smaller (or greater) than a specific quadratic irrational number. At first, this might seem impossible since quadratic irrationals lack periodicity in their expansions. However, the trick is to encode them as periodic (infinite) words, which is straightforward when using their continued fraction expansions.

For added flair, we could use the golden ratio to define our language. Behind the scenes, the golden ratio is particularly simple, as its continued fraction expansion consists entirely of repeating coefficients of 1.

The challenge, then, is to have the user input a continued fraction representation without making it too obvious. A clever way to obscure this is by asking the user to provide a sequence of left/right moves on the Stern-Brocot tree. These moves are directly tied to the continued fraction expansion of the given rational number.

Our final language is thus: the set of all positive rationals, encoded as left/right moves on the Stern-Brocot tree, which are smaller (or greater) than the golden ratio. (Of course, any quadratic number can be used instead of φ as such numbers have a periodic continued fraction expansion).

Building an actual DFA for that would require some care and attention to detail but would be perfectly achievable.

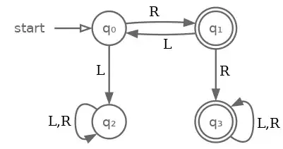
In the specific case of φ, the DFA should be of a very reasonable size. The language of rationals greater than φ would probably look like: the set of words where an initial prefix RLRLRLRLRLR is first broken after an R not followed with a L (either followed with another R or at the very end of the word).

Edit. Although not much time was spent on it and no warranty is provided, the DFA should closely resemble the following.

enter image description here