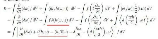
Picture below is from Topping's 37th page of Lectures on the Ricci flow. I try to show
$$
\delta(h(\omega, \cdot)) = \langle \delta h, \omega \rangle -\langle h, \nabla \omega \rangle
$$
$\delta$ is divengence. For tensor $T$, $\delta(T)= -tr_{12} (\nabla T)$. $\omega$ is 1-form.
$-h^{ij}= \partial_t g^{ij}$.
What I try: Assume $h=h_{ij}dx^i\otimes dx^j, \omega= \omega_i dx^i$. First, $$ h(\omega, \cdot) = \omega_i h_j^i dx^j $$ therefore \begin{align} \delta (h(\omega, \cdot)) &= -tr_{12} \nabla (\omega_i h_j^i dx^j) \\ &= -g^{ab}[\nabla _a (\omega_i h_j^i dx^j)] \partial_b \tag{1}\\ &= -g^{ab}[\frac{\partial \omega_i}{\partial x_a}h_b^i + \omega_i \frac{\partial h_b^i}{\partial x_a}- \omega_i h_k^i \Gamma_{ab}^k] \end{align} Second, since $$ \delta h = -g^{ab}[\partial_a h_{bk} - \Gamma_{ab}^l h_{lk} -\Gamma_{ak}^l h_{bl}] dx^k $$ I have $$ \langle \delta h, \omega \rangle = -g^{ab}[\partial_a h_{bk} - \Gamma_{ab}^l h_{lk} -\Gamma_{ak}^l h_{bl}] g^{kc}\omega_c \tag{2} $$ Third, since $$ \nabla \omega =(\partial_i \omega_j - \omega_k \Gamma_{ij}^k) dx^i\otimes dx^j $$ I have $$ \langle h, \nabla \omega \rangle = h^{ij}(\partial_i \omega_j - \omega_k \Gamma_{ij}^k) \tag{3} $$ where $h^{ij}= h_{ab} g^{ai}g^{bj}$.
Last, from (1), (2), (3), I have $$ \langle \delta h, \omega \rangle - \langle h, \nabla \omega \rangle = \delta (h(\omega, \cdot)) +g^{kc}\Gamma_{ak}^l h_l^a \omega_c + h^{ij}\omega_k\Gamma_{ij}^k \tag{4} $$ Obviously, from (4), I can't get the red line.
(PS: I omit many computational details, it really be fussy to input. I feel the key point is contained. The answer maybe complex, if so, a picture of handwritten draft is enough for me, thanks.)
