Consider the following expression $$ y_j= \sum_{k=0}^{L} \frac{e^{-\sum_{i=-k}^k(k-|i|)x_{j+i}}-e^{-\sum_{i=-k}^k(k+1-|i|)x_{j+i}}}{\sum_{i=-k}^k x_{j+i}}\tag{1} $$ for $1\leq j \leq L$. Given smooth periodic data $\{y_j\}$, I would like to find an analytical approximation to the periodic array $\{x_j\}$.
My thoughts: In general, this seems hard, but despite the relatively complex nature of (1), surprisingly some simulations give me hope that something could be said about approximating an inverse formula, in specific cases and for large $L$.
For example, when $y_j=y$, for all $j$, as shown here, we have $$ y\simeq \frac12\sqrt{\frac{\pi}{x}}\hspace{2mm}\Leftrightarrow\hspace{2mm} x\simeq\frac{\pi}{4}y^{-2}\tag{2} $$ where, necessarily, $x=x_j$ for all $j$.
Interestingly enough, this simple approximation works reasonably well for non-constant and smooth $y_j\in[0,50]$, as the following plots show
Here, we first plotted an initial sequence $\{x_j\}$ of 400 points, given by $x_j=10^{-4}x e^{\sin x}$, followed by its transformation via (1) and a second transformation on the obtained $y_j$ by (2), to recover an estimation for $x_j$. Comparing the first and third plots suggests that a transformation simply given by (2), on data $\{y_j\}$, could be enough to capture the unknown $\{x_j\}$. Indeed, by overlapping the two sets, we have
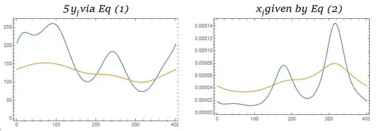
While we obtain a relatively similar function for $x_j$, estimate (2) drastically fails when the scale of $y_j$ changes. For example, if we take $x_j$ corresponding to $5y_j$, we get
which produces not only a significantly worse estimate for $x_j$, but also for $y_j$, as seen in the second plot, compared to the previous one
Nonetheless, I would anticipate that the scaling issue could be potentially fixed by amplifying the behavior of $x_j$, perhaps through some transformation based on its second derivative (and/or a sigmoidal function of it?). I trust there could be a way to improve the estimate from equation (2) to be applied to large-scale $y_j$, but I am struggling to understand the main mechanism through which that could be achieved. Any ideas?
Edit 1 (some observations): Let $R(\{x_j\}) := y_j$ as defined in (1). A somewhat naive way of inverting (1) is to take $x_j=R(\{y_j\})$ or, more generally, $x_j=R(\{f(y_j)\})$ for some function $f$. Interestingly, when $f(y)=y^2$, $R(\{y_j^2\})$ becomes very similar to the approximation given by (2), as seen in the following plots
Still far from the desired function but, despite being relatively surprising, I believe this is simply a consequence of the fact that, when $y_j$ is large, $R(\{y_j\})\simeq 1/y_j$, but there might be room for further conclusions. Perhaps defining $f$ accordingly could give us a better inverse?
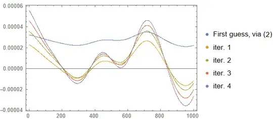
Edit 2 (numerical approaches): While the analytical approach is the main question here, gradient descent and BFGS algorithms are being attempted here, which might hint at overall dynamics that could potentially motivate the theoretical exercise. Through gradient descent, a relatively fast estimate can be found here, for some sample data, but it yields non-negative values in $\{x_j\}$. For example, gradient descent yields the following $\{x_j\}$ distribution convergence, where blue is the initial guess
Ideally, I would like to guarantee $x_j>0, \forall j$, but I would be more than happy if the transform seen here could be, at least locally, achieved, as the overall monotonicity seems preserved and it "suggests" some relatively simple rescaling mechanism. The uniqueness question follows: How many solutions, in $\mathbb{R}$, does (1) have? Naturally, this is extra, but I thought it could be relevant to share.





