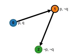
I have constructed the following Kripke model for this problem:
My idea is the following: Implication is false iff we have $ \top \implies \bot$.
For world $0$, we have that $p$ is true. Now we need to evaluate $\Box \Diamond q$. For world $0$, $\Box \Diamond q$ is true iff $\Diamond q$ is true in every world which is reachable from world $0$ (that would be world $1$). Now, in world $1$, $\Diamond q$ is true if $q$ is true in at least one world reachable from world $1$, and the only such world is $2$. Now, since $q$ is false in world $2$, we can say that $\Diamond q$ is false in $1$, and so $\Box \Diamond q$ is false in $0$. We have our implication $\top \implies \bot$.
My questions are:
Obviously, the value of $q$ in world $1$ is $\neg q$. However, we don't really need that value for anything because we only use world $1$ as an "intermediary" world of sorts, right?
Can different worlds in the same Kripke model have the same truth values for the same variables? I.e., could I have added a world $3$ with $p,q$ as values for $p,q$?


$\Box p$ is true in the current world if it is true in all worlds reachable from the current world. However, if no world is reachable from the current world, we say that $\Box p$ is vacuously true in the current world.
What about $\Diamond p$? It's true in the current world if it's true in at least one world reachable from the current world. However, what if no such world exists (that is reachable from the current world)? Is it vacuously false?
– l0ner9 Jun 21 '23 at 09:04