Since the image part of the integrand is odd, then the given integral is real,
$$I(a,b)=2\int\limits_0^\infty \left(\exp\left(-\dfrac a{1+t^2 }\right) \cos\left(\dfrac{bt}{1+t^2}\right)-\exp\left(-\dfrac1{t^2}\right)\cos\left(\dfrac bt\right)\right)\,\text dt.$$
$$I(a,b)=2I_1(a,b)+2I_2(b),\tag1$$
where
$$I_1(a,b)=\int\limits_0^\infty \left(\exp\left(-\dfrac a{1+t^2 }\right) \cos\left(\dfrac{bt}{1+t^2}\right)-1\right)\,\text dt,\tag2$$
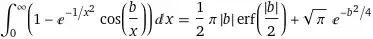
$$I_2(b)=\int\limits_0^\infty \left(1-\exp\left(-\dfrac1{t^2}\right) \cos\left(\dfrac bt\right)\right)\,\text dt
= \pi\,\dfrac{|b|}2\operatorname{erf}\left(\dfrac{|b|}2\right)+\sqrt\pi \exp\left(-\dfrac{b^2}4\right)\tag3$$
(see also WA integration).

Edit
Since
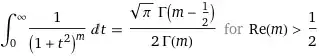
$$\int_0^\infty \dfrac{\text dt}{(1+t^2)^m} = \dfrac{\sqrt\pi}2 \dfrac{\Gamma(m-1/2)}{\Gamma(m)},\tag4$$

then
$$I_1(a,0)=\int\limits_0^\infty \left(\exp\left(-\frac a{1+t^2}\right)-1\right)\,\text dt
=\dfrac{\sqrt\pi}2\sum\limits_{m=1}^\infty \dfrac{(-a)^m \Gamma(m-\frac12)}{m!(m-1)!},$$
$$I_1(a,0)=-\dfrac\pi2\,a \exp\left(-\dfrac a2\right)\left(\operatorname I_0\left(\dfrac a2 \right)+\operatorname I_1\left(\dfrac a2 \right)\right).\tag5$$
Besides,
$$\begin{align}
&\int\limits_0^{\large\frac\pi2}\exp\left(-\dfrac a2 \cos2x\right)
\left(\dfrac b2 \sin^2 2x\right)^m \dfrac{\text dx}{\cos^2 x}\\[4pt]
&=\dfrac{\sqrt\pi}4 \left(\frac{2b}a\right)^m\,\Gamma\left(m-\dfrac12\right)
\left((a+4m)\operatorname I_m\left(\frac a2\right)+a\operatorname I_{m+1}\left(\frac a2\right)\right),
\end{align}\tag6$$
and the substitution $\;t=\tan x\;$ allows to right
$$I_1(a,b)-I_1(a,0) =\int\limits_0^\infty \exp\left(-\dfrac a{1+t^2}\right)
\left(\cos\left(\dfrac{bt}{1+t^2}\right)-1\right)\,\text dt$$
$$=\int\limits_0^{\large\frac\pi2}\exp\left(-a\cos^2 x\right)
\left(\cos\left(\dfrac b2\sin 2x\right)-1\right)
\dfrac{\,\text dx}{\cos^2 x}$$
$$=\exp\left(-\dfrac a2\right) \int\limits_0^{\large\frac\pi2}\exp\left(-\dfrac a2\cos2x\right)
\left(\cos\left(\dfrac b2\sin 2x\right)-1\right)
\dfrac{\,\text dx}{\cos^2 x}$$
$$=\exp\left(-\dfrac a2\right)
\sum\limits_{m=1}^\infty \dfrac1{(2m)!}\left(-1\right)^m \int\limits_0^{\large\frac\pi2}\exp\left(-\dfrac a2\cos2x\right)
\left(\dfrac b2\sin^2 2x\right)^m
\dfrac{\,\text dx}{\cos^2 x}$$
$$=\dfrac{\sqrt\pi}4 \exp\left(-\dfrac a2\right)
\sum\limits_{m=1}^\infty \dfrac{\Gamma(m-\frac12)}{(2m)!}
\left(-\frac{2b}a\right)^m
\left((a+4m)\operatorname I_m\left(\frac a2\right)+a\operatorname I_{m+1}\left(\frac a2\right)\right).\tag7$$
Formulas $(1),(3),(5),(7)$ provide the result as 1d series of the special functions.
Old version
Using the integral representation of the beta-function in the form of
$$\int\limits_0^{\large \frac\pi2}\dfrac{\sin^{2k}2x}{\cos^2x}\,\text dx
=\dfrac{\sqrt\pi\, \Gamma(k-\frac12)}{\Gamma(k)}\tag4$$
and substitution $\;t=\tan x,\;$ one can get
$$I_1(0,b)=\int\limits_0^\infty \left(\cos\left(\dfrac{bt}{1+t^2}\right)-1\right)\,\text dt
=\int\limits_0^{\large\frac\pi2} \left(\cos\left(\dfrac b2 \sin 2x\right)-1\right) \dfrac{\text dx}{\cos^2 x}$$
$$=\sum\limits_{k=1}^{\infty}\dfrac{(-1)^k}{(2k)!}\left(\dfrac b2\right)^{2k} \int\limits_0^{\large\frac\pi2} \dfrac{\sin^{2k} 2x\,\text dx}{\cos^2 x}
=\sum\limits_{k=1}^{\infty}\dfrac{(-1)^k}{(2k)!}\left(\dfrac b2\right)^{2k} \dfrac{\sqrt\pi\, \Gamma(k-\frac12)}{\Gamma(k)},$$
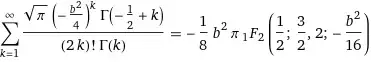
$$I_1(0,b)=-\pi\,\dfrac{b^2}8\, \operatorname{_1F_2}\left(\dfrac12;\dfrac32,2;-\dfrac{b^2}{16}\right).\tag5$$

Similarly, applying the integral representation of the beta-function in the form of
$$\int\limits_0^{\large \frac\pi2} \sin^{2k}2x \cos^{2m-2}x\,\text dx
=\dfrac{2^{2k-1} \Gamma(k+\frac12) \Gamma(k+m-\frac12)}{\Gamma(2k+m)}\tag6$$
and substitution $\;t=\tan x,\;$ one can get
$$I_1(a,b)-I_1(0,b)=\int\limits_0^\infty \left(\exp\left(-\dfrac a{1+t^2 }\right)-1\right) \cos\left(\dfrac{bt}{1+t^2}\right)\,\text dt$$
$$=\int\limits_0^{\large\frac\pi2} \left(e^{-a\cos^2x}-1\right) \cos\left(\dfrac b2 \sin 2x\right)\,\dfrac{\text dx}{\cos^2 x}$$
$$=\sum\limits_{m=1}^{\infty}\dfrac{a^m}{m!} \sum\limits_{k=0}^{\infty}\dfrac{(-1)^{m+k}}{(2k)!}
\left(\dfrac b2\right)^{2k}
\int\limits_0^{\large\frac\pi2} \sin^{2k} 2x \cos^{2m-2}x\,\text dx$$
$$=\sum\limits_{m=1}^{\infty}\dfrac{a^m}{m!} \sum\limits_{k=0}^{\infty}\dfrac{(-1)^{m+k}}{(2k)!}
\left(\dfrac b2\right)^{2k}
\dfrac{2^{2k-1} \Gamma(k+\frac12) \Gamma(k+m-\frac12)}{\Gamma(2k+m)}$$
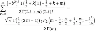
$$I_1(a,b)-I_1(0,b)=\dfrac{\sqrt\pi}2\sum\limits_{m=1}^{\infty}\dfrac{(-a)^m\Gamma(m-\frac12)}{(m-1)!m!} \operatorname{_1F_2}\left(m-\frac12;\frac{m+1}2,\frac m2; -\frac1{16}b^2\right).\tag7$$

Formulas $(1),(3),(5),(7)$ provide the result as 1d series of the special functions.