We refer to the enumerate list below on What is the quotient of the graph?
What is the quotient set $V/\sim$?
1.1. In comparison, the quotient set on integers
such as $\mathbb Z\ /\text{ division}$ consists of the quotient
classes about the remainders. What are equivalent to "remainders"
with graphs?
1.2. What are the equivalence classes of a graph?
How is the quotient defined for a digraph?
(1.) What is the quotient set $V/\sim$?
The quotient set is the set of equivalence classes, in this case
$$V/\sim\;=\{[v]:v\in V\}=\{\{x\in V:v\sim x\}:v\in V\}.$$
Note that (in general) the terms "quotient set of $X$" and "modulo of $X$" are equivalent (by definition) when referring to some equivalence relation $\sim$. For this reason, I would assume that the modulo of a graph is the graph with vertex set "$V$ modulo $\sim$" and edge set as described in your definition (in the same way that the quotient of a graph is the graph with vertex set "the quotient set of $V$ by $\sim$").
The quotient set $X/R$ is just a partition of $X$ which is "decided" by $R$. We might also do this the other way around, i.e. start with a partition $X=\bigcup X_i$, with $X_i\cap X_j=\emptyset$ whenever $i\neq j$, and let $xR y$ iff $\{x,y\}\subseteq X_i$ for some $i$. Then $X/R=\{X_i\}$. So in the same way, we might just view $V/\sim$ as some given partition of the vertex set $V$.
(1.1., 1.2.) The "remainders" are just the equivalence classes. I.e. in a quotient graph, the elements $[v]=\{x\in V:v\sim x\}$ of the quotient set $V/\sim$. Note that these are just sets of vertices which are given by the quotient on the set $V$ (no graph theory here) -- this definition will not differ from the standard equivalence classes of any old equivalence relation on some set.
For example, if $nRm$ iff $5|(n-m)$ (as in the answer to the linked question), the quotient set $\Bbb{Z}/R$ is $\{[0],[1],[2],[3],[4]\}$. In the division example, the classes are the sets of integers that have the same remainder when divided by $5$, and in the graph example, the classes are the sets of vertices defined by the equivalence relation $\sim$ (which we know nothing about).
(2.) How is the quotient defined for a digraph?
The definition is the same for a digraph, but it is written more nicely on the Wikipedia article on Quotient graph. To quote:
[I]f $G$ has edge set $E$ and vertex set $V$ and $R$ is the equivalence relation induced by the partition, then the quotient graph has vertex set $V/R$ and edge set $$\{([u]_R, [v]_R) : (u, v) \in E(G)\}.$$
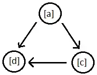
(Recall, $(x,y)$ is understood to be an edge from $x$ to $y$ in a digraph.) So an edge in the quotient of $G$ exists from $[u]_R$ to $[v]_R$ iff there is an edge in $G$ from any vertex $u\in [u]_R$ to any vertex $v\in [v]_R$. An example of this is seen in this question. Here, the equivalence relation is given by $v\sim u$ iff there is a path from $v$ to $u$ and a path from $u$ to $v$. Hence (as given in the answer), the three classes are $[a]=\{a,b\}$, $[c]=\{c\}$, and $[d]=\{d,e,f,g,h\}$. I sketched the quotient graph below (excuse the Paint skills).
Regarding the reference request, I have never seen the definition in any graph theory textbook that I have read. Wikipedia's source seems to be High Quality Graph Partitioning (Peter Sanders, Christian Schulz) (pdf), which does have a definition that matches the one you reference, and the one I was familiar with. I have not found any source that uses "modulo" of a graph (in this context) but, as I mentioned before, this is likely due to the interchangeability of the terms when describing (general) equivalence relations.
