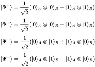
One of the possible solutions:
$|\Phi^+\rangle = \textrm{CNOT} \cdot H_1 |00 \rangle$
$|\Phi^-\rangle = Z_1 |\Phi^+\rangle = Z_1 \cdot \textrm{CNOT} \cdot H_1 |00 \rangle$
$|\Psi^+\rangle = X_2 |\Phi^+\rangle = X_2 \cdot \textrm{CNOT} \cdot H_1 |00 \rangle$
$|\Psi^-\rangle = Z_1 |\Psi^+\rangle = Z_1 \cdot X_2 \cdot \textrm{CNOT} \cdot H_1 |00 \rangle$
Where $Z_i$ and $X_i$ act on the $i^\textrm{th}$ qubit.
So here is $|\Phi^-\rangle$:

Here is $|\Psi^+\rangle$:

And here is $|\Psi^-\rangle$:

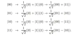
Another solution is:
$|\Phi^+\rangle = \textrm{CNOT} \cdot H_1 |00 \rangle$
$|\Phi^-\rangle = X_1 \cdot \textrm{CNOT} \cdot H_1 |00 \rangle$
$|\Psi^+\rangle = X_2 \cdot \textrm{CNOT} \cdot H_1 |00 \rangle$
$|\Psi^-\rangle = Z_1 X_2\cdot \textrm{CNOT} \cdot H_1 |00 \rangle$