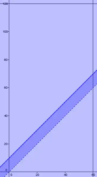
A and B are going to the math palace. A arrives between 12:00 and 13:00 o'clock and stays for 10 minutes, whereas B arrives between 12:00 and 14:00 o'clock and leaves immediately. The time point in which they arrive is uniformly distributed on the stated intervals. What is the probability that A and B meet each other?
My try:
P($X_{B}\in [X_{A}-10m;X_{A}+10m]) = F_{X_{B}}(X_{A}+10m)-F_{X_{B}}(X_{A}-10m)$
$= \frac{X_{A}+10m-12h}{14h-12h} - \frac{X_{A}-10m-12h}{14h-12h} = \frac{1}{6}$
Which is wrong. The correct solution would be $\frac{1}{12}$
