I came across the identity
$$\int^x_0\frac{\ln(p+qt)}{r+st}{\rm d}t=\frac{1}{2s}\left[\ln^2{\left(\frac{q}{s}(r+sx)\right)}-\ln^2{\left(\frac{qr}{s}\right)}+2\mathrm{Li}_2\left(\frac{qr-ps}{q(r+sx)}\right)-2\mathrm{Li}_2\left(\frac{qr-ps}{qr}\right)\right]$$
in a book.
Unfortunately, as of now, I am not very adept at manipulating such integrals and thus I have little idea on how to proceed with proving this identity. For example, substituting $u=r+sx$ doesn't seem to help much. Hence, I would like to seek assistance as to how this integral can be evaluated. Help will be greatly appreciated. Thank you.
- 5,694
-
3By definition of the dilogarithm, $\operatorname{Li}_2(t)=-\displaystyle\int \frac{\ln(1-t), dt}{t}$. Find any change of variables that reduces your integral to this form. – Start wearing purple Aug 10 '14 at 11:17
2 Answers
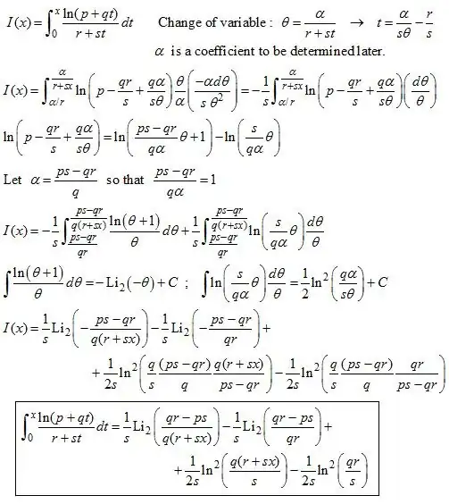
Among various ways to do it, this one is simple :

- 68,401
- 4
- 40
- 91
-
Thank you. I have indeed learnt from this answer. +1. If you don't mind, may I ask where you got the idea of substituting $\displaystyle \theta=\frac{\alpha}{r+st}$ from? It is quite a brilliant and effective substitution. Thanks! – SuperAbound Aug 11 '14 at 00:11
-
1I have tried a more general substitution on the form $\theta=(r+st)^c$. Then, it apprears that $c=-1$ facilitates the simplification of the equation. – JJacquelin Aug 11 '14 at 04:28
$\newcommand{\angles}[1]{\left\langle\, #1 \,\right\rangle} \newcommand{\braces}[1]{\left\lbrace\, #1 \,\right\rbrace} \newcommand{\bracks}[1]{\left\lbrack\, #1 \,\right\rbrack} \newcommand{\ceil}[1]{\,\left\lceil\, #1 \,\right\rceil\,} \newcommand{\dd}{{\rm d}} \newcommand{\ds}[1]{\displaystyle{#1}} \newcommand{\expo}[1]{\,{\rm e}^{#1}\,} \newcommand{\fermi}{\,{\rm f}} \newcommand{\floor}[1]{\,\left\lfloor #1 \right\rfloor\,} \newcommand{\half}{{1 \over 2}} \newcommand{\ic}{{\rm i}} \newcommand{\iff}{\Longleftrightarrow} \newcommand{\imp}{\Longrightarrow} \newcommand{\pars}[1]{\left(\, #1 \,\right)} \newcommand{\partiald}[3][]{\frac{\partial^{#1} #2}{\partial #3^{#1}}} \newcommand{\pp}{{\cal P}} \newcommand{\root}[2][]{\,\sqrt[#1]{\vphantom{\large A}\,#2\,}\,} \newcommand{\sech}{\,{\rm sech}} \newcommand{\sgn}{\,{\rm sgn}} \newcommand{\totald}[3][]{\frac{{\rm d}^{#1} #2}{{\rm d} #3^{#1}}} \newcommand{\verts}[1]{\left\vert\, #1 \,\right\vert}$ \begin{align}&\overbrace{\color{#c00000}{\int_{0}^{x}% {\ln\pars{p+qt} \over r + st}\,\dd t}} ^{\ds{\mbox{Set}\ p + qt\equiv \xi\ \imp\ t = {\xi - p \over q}}}\ =\ \int_{p}^{p + qx}{\ln\pars{\xi} \over r + s\pars{\xi - p}/q}\,{\dd\xi \over q} =-\int_{p}^{p + qx}{\ln\pars{\xi} \over sp - rq - s\xi}\,\dd\xi \\[5mm]&={1 \over rq - sp}\ \overbrace{\int_{p}^{p + qx} {\ln\pars{\xi} \over 1 - s\xi/\pars{sp - rq}}\,\dd\xi} ^{\ds{\mbox{Set}\ {s \over sp - rq}\,\xi\equiv t\ \imp\ \xi = {sp - rq \over s}\,t}} \\[5mm]&= {1 \over rq - sp}\int_{sp/\pars{sp - rq}}^{s\pars{p + qx}/\pars{sp - rq}} {\ln\pars{\bracks{sp - rq}t/s} \over 1 - t}\,{sp - rq \over s}\,\dd t \\[3mm]&=-\,{1 \over s}\int_{sp/\pars{sp - rq}}^{s\pars{p + qx}/\pars{sp - rq}} {\ln\pars{\bracks{sp - rq}t/s} \over 1 - t}\,\dd t \\[3mm]&=\left.{1 \over s}\ln\pars{1 - t}\ln\pars{{sp - rq \over s}\,t} \right\vert_{\,t\ =\ {sp \over sp\ -\ rq}}^{\, t\ =\ s\,{p\ +\ qx \over sp\ -\ rq}} \ -\ {1 \over s}\int_{sp/\pars{sp - rq}}^{s\pars{p + qx}/\pars{sp - rq}} {\ln\pars{1 - t} \over t}\,\dd t \\[3mm]&={1 \over s}\bracks{\ln\pars{1 - s\,{p + qx \over sp - rq}} \ln\pars{p + qx} - \ln\pars{1 - {sp \over sp - rq}}\ln\pars{p}} \\[3mm]&\phantom{=}+{1 \over s}\bracks{% {\rm Li}_{2}\pars{{p + qx \over sp - rq}\,s} -{\rm Li}_{2}\pars{sp \over sp - rq}} \end{align}
\begin{align}&\color{#66f}{\large\int_{0}^{x}{\ln\pars{p+qt} \over r + st}\,\dd t} \\[3mm]&=\color{#66f}{\large{1 \over s}\bracks{% \ln\pars{{r + sx \over rq - sp}\,q}\ln\pars{p + qx} - \ln\pars{rq \over rq - sp}\ln\pars{p}}} \\[3mm]&\color{#66f}{\large + {1 \over s}\bracks{% {\rm Li}_{2}\pars{{p + qx \over sp - rq}\,s} -{\rm Li}_{2}\pars{sp \over sp - rq}}} \end{align}
Indeed, for particular values of the different parameters we should take care of possible $\color{#c00000}{\large\ds{\ln}}$ or/and $\color{#c00000}{\large\ds{{\rm Li}_{2}}}$ branch cuts.
- 94,079