As mentioned in another answer, there are elementary closed forms $N<10$, but otherwise, here are series solutions for all complex/real roots for certain $\beta=b$. For the real roots, substitute $w=e^{2 i k(N+1)}\iff k=\frac{2\pi i p}{2i(N+1)}+\frac{\ln(w)}{2i(N+1)},p\in\Bbb Z$ and apply Lagrange reversion: $$b \sin ((1-N)k)=\sin ((1+N)k)\iff w=1+b e^\frac{2\pi i p}{N+1}\sqrt[N+1]w-b e^\frac{2\pi i p N}{N+1}w^\frac N{N+1}\\\implies k_p= \frac{2\pi i p}{2i(N+1)}+\frac1{2i(N+1)}\left(\ln(1)+\sum_{n=1}^\infty\frac{b^n}{n!}\left.\frac{d^{n-1}}{dw^{n-1}}\ln’(w)\left(e^\frac{2\pi i p}{N+1}\sqrt[N+1]w-e^\frac{2\pi i p N}{N+1}w^\frac N{N+1}\right)^n\right|_1\right)$$ Next, use binomial theorem: $$\left.\frac{d^{n-1}}{dw^{n-1}}w^{-1}\left(e^\frac{2\pi i p}{N+1}\sqrt[N+1]w-e^\frac{2\pi i p N}{N+1}w^\frac N{N+1}\right)^n\right|_1=\sum_{m=0}^n\binom nm e^\frac{2\pi i p((N-1) m+n)}{N+1}\left.\frac{d^{n-1}}{dw^{n-1}}w^{\frac{n-2m}{N+1}+m-1}\right|_1$$
The derivative uses factorial power $n^{(m)}$. The results will be simplified at the bottom. For the complex roots, substitute $w=e^{2i k}\iff k=\frac{\ln(w)}{2i}$
$$b \sin ((1-N)k)=\sin ((1+N)k)\iff b w=-1+bw^N+w^{N+1}\\\implies k=\frac1{2i}\left(\ln\left(-\frac1b\right)+\sum_{n=1}^\infty\frac1{n!}\left.\frac{d^{n-1}}{dw^{n-1}}\ln’(w)w^{Nn}\left(\frac wb+1\right)^n\right|_{-\frac1b}\right)$$
Afterwards, use general Leibniz rule
$$\frac{d^{n-1}}{dw^{n-1}}\ln’(w)w^{Nn}\left(\frac wb+1\right)^n=\sum_{m=0}^{n-1}\binom{n-1}m\frac{d^{n-1-m}}{dw^{n-1-m}}w^{Nn}\frac{d^m}{dw^m} \left(\frac wb+1\right)^n$$
Finally, sum over $m$ to get the Gauss hypergeometric function and notice the complex roots are conjugates of one another/are $\pi$ periodic. Combining everything gives:
$$\bbox[2px,border: 3px skyblue solid]{b\sin((1-N)k)=\sin((1+N)k)\implies k_p=\frac{\pi p}{N+1}+\frac1{2i(N+1)}\sum_{n=1}^\infty\sum_{m=0}^{n-1} e^\frac{2\pi i p((N-1)m+n)}{N+1}\frac{(-1)^m b^n}{m!(n-m)!}\left(\frac{n-2m}{N+1}+m-1\right)^{(n-1)},\left(k+\frac12\right)\pi\pm\frac i2\ln(b)\mp \frac i2\sum_{n=1}^\infty\left(1-\frac1{b^2}\right)^n\frac{(Nn-1)^{(n-1)}}{(-b)^{(N-1)n}n!}\,_2\text F_1\left(1-n,-n;(N-1)n+1;\frac1{1-b^2}\right);p\in\Bbb Z}$$
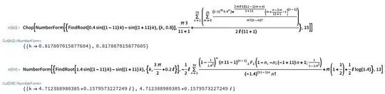
The series for the complex roots sum converges for about $|b|<1$ while the one for the real roots converges for about $|b|>1$ shown here:

Note the sum of index $m$ can have an upper bound of $\infty$ and both sums are interchangeable. If one really wanted, any one of the two sums over $m,n$ has a Fox Wright function form.