I was given the following problem:
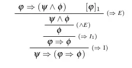
Find a derivation for$\{\varphi \Rightarrow (\psi \land \phi)\} \vdash \psi \Rightarrow (\varphi \Rightarrow \phi)$
The derivation is to be made using natural deduction. I came to the following derivation:
However, I am unsure of the last step ($\Rightarrow I$). It is the case that $\psi$ was found to be true; namely, when we arrived to $\psi \land \phi$. So the conclusion seems correct from an intuitive point of view. But I think the formal application of the rule is incorrect. The rule for $\Rightarrow I$ states that
If $[\varphi] \ldots \phi $ is a derivation, then $\varphi \Rightarrow \phi$.
In our case, I should have gotten a derivation of the form $\psi \ldots (\varphi \Rightarrow \phi)$, but what I have is a derivation of the form $(\psi \land \phi) \ldots (\varphi \Rightarrow \phi)$, which is not identical to what is stated in the rule.
Of course, another rule is $\land E$, by virtue of which $\psi$ follows from $\psi \land \phi$, but I have never applied this rule explicitly for $\psi$ (only for $\phi$).

@MauroALLEGRANZA I can see why that is true. However, I am to justify each step of the derivation with a specific rule ($\land I, \to I, \to E$, etc.), and $\phi \vdash \psi \to \phi$ is a provable theorem but not a rule. If I am missing something, I apologize, I am fairly new to the subject.
– lafinur Apr 29 '23 at 17:58