I would like to get the following integral:
$$\int -\frac{\log(a^2+x^2)}{(a^2+x^2)}dx \quad \text{or} \quad \int_{t}^{+\infty}-\frac{\log(a^2+x^2)}{(a^2+x^2)}dx$$
where $t>0$.
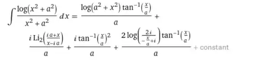
I used WolframAlpha to compute, and I got following expression:
I am just wondering why some complex value i appears? Any ideas of how to get the closed form of integral from t to +inf ? I guess I need to give more specification to wolframalpha to compute ?
