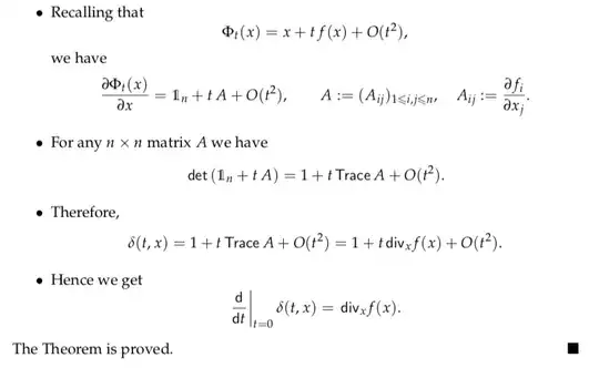
I am trying to get my head around the following proof of Liouville's theorem (question is quite far down below):
Question: What I don't get my head around is the following line:
My guess is that it is some sort of coordinate change, since $\Phi_{t}(x)$ is a diffeomorphism: express $x$ as $x=\Phi_{s}(y)$, then we get $\Phi_{t}(x)=\Phi_{t}(\Phi_{s}(y))$. Now apply the chain rule
\begin{align} \frac{\partial\Phi_{t}(x)}{\partial x}(x)=\frac{\partial\Phi_{t}(x)}{\partial x}(\Phi_{s}(y))\frac{\partial\Phi_{s}(y)}{\partial y}(y) \end{align}
Then I would get something like
$$\det(\frac{\partial\Phi_{t}(x)}{\partial x}(x))=\det(\frac{\partial\Phi_{t}(x)}{\partial x}(\Phi_{s}(y))\det(\frac{\partial\Phi_{s}(y)}{\partial y}(y)),$$
which sort of looks the same as in the proof, but the $\Phi_{s}(x)$ in the denominator definitely confuses me.
I am also not too sure why differentiation and integration can be interchanged in the second bullet point. Is it really "obvious" that the requirements for this to be true are met?
Many thanks in advance!



