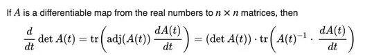
I am trying to understand the following proof:
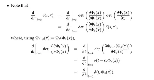
What I dont't understand is how $\delta(t,x)$ is differentiated. My first thought was to use

But I am not sure if I am on the right track here.
Many thanks in advance!
I am trying to understand the following proof:
What I dont't understand is how $\delta(t,x)$ is differentiated. My first thought was to use

But I am not sure if I am on the right track here.
Many thanks in advance!