Hi it's a follow up of show this inequality $\sqrt{\frac{a^b}{b}}+\sqrt{\frac{b^a}{a}}\ge 2$:
Problem :
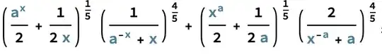
Let $a,x>0$ then (dis)prove :
$$\left(\frac{1}{2}a^{x}+\frac{1}{2}x^{-1}\right)^{\frac{1}{5}}\cdot\left(\frac{2}{a^{-x}+x}\right)^{\frac{4}{5}}+\left(\frac{1}{2}x^{a}+\frac{1}{2}a^{-1}\right)^{\frac{1}{5}}\cdot\left(\frac{2}{x^{-a}+a}\right)^{\frac{4}{5}}\geq 2$$
If true I have tried to show it using the well-know formula :
Let $x$ be a real number then we have :
$$e^x\geq x+1$$
Applying to $a^x$ and $x^a$ .Unfortunately the inequality becomes false .
Also I have tried Tchebytchev's inequality but the application is similar to the use of Am-Gm and the inequality becomes wrong .
I found this refinement as a refinement of Am-Gm-Hm wich is a mix .
Edit : It seems we have for $a\geq 1$ and $x\in(\frac{1}{a},a)$ :
$$g(x)=\left(\frac{1}{2}a^{x}+\frac{1}{2}x^{-1}\right)^{-\frac{1}{5}}\cdot\left(\frac{2}{a^{-x}+x}\right)^{-\frac{4}{5}}\cdot\left(\frac{1}{2}x^{a}+\frac{1}{2}a^{-1}\right)^{\frac{1}{5}}\cdot\left(\frac{2}{x^{-a}+a}\right)^{\frac{4}{5}}$$
And :
$$h(x)=\left(\frac{1}{2}a+\frac{1}{2}x^{-1}\right)^{-\frac{1}{5}}\cdot\left(\frac{2}{a^{-1}+x}\right)^{-\frac{4}{5}}\cdot\left(\frac{1}{2}x+\frac{1}{2}a^{-1}\right)^{\frac{1}{5}}\cdot\left(\frac{2}{x^{-1}+a}\right)^{\frac{4}{5}}$$
Then it seems we have :
$$h(x)< g(x)$$
Last edit 25/11/2021 correction 26/11/2021:
We need to show that for $a\leq 1$ and $x\ge 1$ :
$$2^{\frac{3}{5}}\cdot\frac{\left(\frac{a^{x}}{x}\right)^{\frac{4}{5}}}{\left(a^{x}+\frac{1}{x}\right)^{\frac{3}{5}}}+2^{\frac{3}{5}}\cdot\frac{\left(\frac{x^{a}}{a}\right)^{\frac{4}{5}}}{\left(x^{a}+\frac{1}{a}\right)^{\frac{3}{5}}}\geq 2 $$
Or :
$$x^{-\frac{5}{5}}r\left(a^{x}x\right)+a^{-\frac{5}{5}}r\left(x^{a}a\right)\geq 2$$
Where the function :
$$r\left(x\right)=2^{\frac{3}{5}}\cdot\frac{x^{\frac{4}{5}}}{\left(x+1\right)^{\frac{3}{5}}}$$
Is reciprocally convex on $(0,\infty)$ .
See this paper for further informations : http://artem.sobolev.name/posts/2021-05-02-reciprocal-convexity-to-reverse-the-jensen-inequality.html at ("defined by Merkle")
We get a lower bound :
$$\left(\frac{1}{x}+\frac{1}{a}\right)\cdot r\left(\frac{\left(\frac{1}{x}+\frac{1}{a}\right)}{\frac{1}{x}\cdot\frac{1}{\left(a^{x}x\right)}+\frac{1}{a}\left(\frac{1}{x^{a}\cdot a}\right)}\right)$$
It seems to be superior to two when $0.75\leq a\leq 1$ and $0<x\leq 6$
Question :
How to (dis)prove it ?




