How would you proceed $\arcsin{(\phi)} = \cos{(\phi)}$?
I've tried expressing $\arcsin{(\phi)}$ as a $\cos^{-1}$ to simplify things, but I couldn't figure it out.
It is possible to solve analytically?
How would you proceed $\arcsin{(\phi)} = \cos{(\phi)}$?
I've tried expressing $\arcsin{(\phi)}$ as a $\cos^{-1}$ to simplify things, but I couldn't figure it out.
It is possible to solve analytically?
Writing a quick script using Newton's Method:
from math import sin, cos
def f(x):
return sin(cos(x)) - x
def f_deriv(x):
return sin(x) * (-cos(cos(x))) - 1
def newton(x_n):
return x_n - f(x_n) / f_deriv(x_n)
x = 0
for i in range(10):
print(f"Current result after pass {i}: {x}")
x = newton(x)
After some passes, to 16 decimal places, the result is $0.6948196907307875...$
Transforming the equation
\begin{equation} \arcsin\left(\phi\right)=\cos\left(\phi\right)\rightarrow\phi=\sin\left(\cos\left(\phi\right)\right) \end{equation}
with the change of variable $\phi\rightarrow\arccos\left(\phi\right)$
\begin{equation} \arccos\left(\phi\right)=\sin\left(\phi\right) \end{equation}
and now taking the change $\phi\rightarrow\textrm{arccsc}\left(z\right)$ and multiplying by z, we obtain the equation
\begin{equation} -1+z\arccos\left(\textrm{arccsc}\left(z\right)\right)=0 \end{equation}
Defining the function $f(z)=-1+z\arccos\left(\textrm{arccsc}\left(z\right)\right)$ and applying the Burniston-Siewert method to solve transcendental equations to this equation we obtain
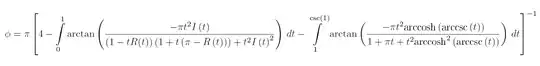
\begin{equation} \phi=\frac{\pi}{4- m} \end{equation}
where
\begin{equation} m={\displaystyle \int\limits _{0}^{1}}\theta_{1}(t)\,dt+{\displaystyle \int\limits _{1}^{\csc\left(1\right)}}\theta_{2}(t)\,dt \end{equation}
whit
\begin{equation} \theta_{1}(t)=\arctan\left(\frac{-\pi t^{2}I\left(t\right)}{\left(1-tR(t)\right)\left(1+t\left(\pi-R\left(t\right)\right)\right)+t^{2}I\left(t\right)^{2}}\right) \end{equation}
\begin{equation} \quad\theta_{2}(t)=\arctan\left(\frac{-\pi t^{2}\textrm{arccosh}\left(\textrm{arccsc}\left(t\right)\right)}{1+\pi t+t^{2}\textrm{arccosh}^{2}\left(\textrm{arccsc}\left(t\right)\right)}\right) \end{equation}
and
\begin{equation} R\left(t\right)=\textrm{Re}\left(\arccos\left(\frac{\pi}{2}-\textrm{arcsech}\left(t\right)\right)\right) \end{equation}
\begin{equation} I\left(t\right)=\textrm{Im}\left(\arccos\left(\frac{\pi}{2}-\textrm{arcsech}\left(t\right)\right)\right) \end{equation}
The expanded form of these functions is
\begin{equation} R\left(t\right)=\arccos\left(\frac{\sqrt{\left(\frac{\pi}{2}+1\right)^{2}+\textrm{arcsech}\left(t\right)}-\sqrt{\left(\frac{\pi}{2}-1\right)^{2}+\textrm{arcsech}\left(t\right)}}{2}\right) \end{equation}
\begin{equation} I\left(t\right)=\textrm{arccosh}\left(\frac{\sqrt{\left(\frac{\pi}{2}+1\right)^{2}+\textrm{arcsech}\left(t\right)}+\sqrt{\left(\frac{\pi}{2}-1\right)^{2}+\textrm{arcsech}\left(t\right)}}{2}\right) \end{equation}
Putting everything into a single expression, the solution looks like this
Through a calculation in Mathematica of the integrals we obtain
\begin{equation} \phi=0.6948196907307875655784200727751937626855044467359379683700770... \end{equation}
Ref:
-E. E. Burniston, C.E. Siewert. The use of Riemann problems in solving a class of transcendental equations. Mathematical Proceedings of the Cambridge Philosophical Society. 73. 111 - 118. (1973).
-Henrici P., Applied and computational complex analysis, Volume III. Wiley, New York. 183-191 (1986).
Just for your curiosity.
Without numerical method, use one single iteration of Newton-like methods of order $n$. This would generate the sequence of approximated values
$$\left( \begin{array}{ccc} n & \phi_n &\text{method} \\ 2 & 1 & \text{Newton} \\ 3 & \frac{2}{3} & \text{Halley} \\ 4 & \frac{9}{13} & \text{Householder} \\ 5 & \frac{52}{73} & \text{no name} \\ 6 & \frac{365}{529} & \text{no name} \\ 7 & \frac{1058}{1513} & \text{no name} \\ 8 & \frac{1869}{2693} & \text{no name} \\ 9 & \frac{366248}{526289} & \text{no name} \\ 10 & \frac{1578867}{2272843} & \text{no name} \\ 11 & \frac{68185290}{98085043} & \text{no name} \\ 12 & \frac{1078935473}{1552932349} & \text{no name} \end{array} \right)$$
$$\frac{1078935473}{1552932349}=0.69477$$ while the exact solution is $0.69482$