2

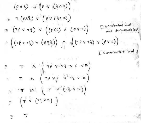
Determine whether $( p \land q ) \to ( p \lor ( q \land r ) )$ is tautology or not.

In line 5 of my given picture can I write this

$( (\lnot p \lor q ) \lor ( p \lor r ) )$ as $( \lnot p \lor q \lor p \lor r )$

If yes then what is this rule called?

My solution:

My solution pic1

user10354138
  • 33,887
  • 1
    The statement at the top of your image is immediately a tautology, simply because assuming $p \land q$ one can immediately get $p$ and hence $p \lor x$ where $x$ is anything. By the way getting just $p$ starting with $p \land q$ is sometimes called "simplification on the first conjunct." – coffeemath Sep 26 '21 at 06:40
  • In my opinion this is correct. You could also do an extensive truth table, which is not too much effort, but a guaranteed way of avoiding mistakes (or learning something...). – Cornman Sep 26 '21 at 06:41
  • That means my line 5 is correct, right? @Cornman – Arafat19 Sep 26 '21 at 06:48
  • Yes, all you did was using commutativity. – Cornman Sep 26 '21 at 06:49
  • 1
    Thanks, everyone. – Arafat19 Sep 26 '21 at 06:51

1 Answers1

3

In line 5 of my given picture, can I write this?

$\quad\bigg( (\lnot p \lor q ) \lor ( p \lor r ) \bigg)$ as $\bigg( \lnot p \lor q \lor p \lor r \bigg)$

If yes then what is this rule called?

It's called the generalised associative law:

If a binary operation is associative, repeated application of the operation produces the same result regardless of how valid pairs of parentheses are inserted in the expression. This is called the generalized associative law.

For instance, a product of four elements may be written, without changing the order of the factors, in five possible ways: $${\displaystyle ((ab)c)d}\tag1$$ $${\displaystyle (ab)(cd)}\tag2$$ $${\displaystyle (a(bc))d}\tag3$$ $${\displaystyle a((bc)d)}\tag4$$ $${\displaystyle a(b(cd))}\tag5$$ If the product operation is associative, the generalized associative law says that all these formulas will yield the same result. So, unless the formula with omitted parentheses already has a different meaning, the parentheses can be considered unnecessary and "the" product can be written unambiguously as $${\displaystyle abcd.}\tag6$$

Here, you've rewritten $(2)$ as $(6),$ which implicitly means $(5).$

ryang
  • 44,428