0

I'm trying to find exact points(black points) on ellipse where the outside bounding box tangent to as in below image:

enter image description here

I've calculated bounding box coordinates as in below formula

enter image description here

enter image description here

from that post: How to get the limits of rotated ellipse?

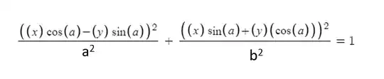
and the rotated ellipse formula is:

enter image description here

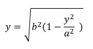
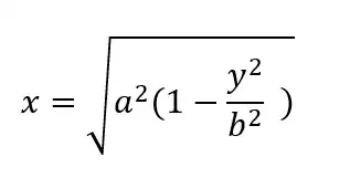
Everything seems easy, just put x and find y but I'm having trouble to get a formula like in unrotated ellipse:

enter image description here

enter image description here

I am searching for the same equations for rotated ellipses.

I searched for that kind a formula since I want to put it on a code and it'll be dynamic but no luck. Is there any good represantion of x and y coordinates on rotated ellipse? or is there any different way to find those points?

Thanks a lot!

Tyr
  • 105

1 Answers1

1

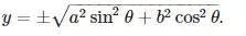
Points $(x, y)$ fulfill the rotated ellipse equation $$\frac{\left( x \cos\theta - y \sin\theta \right)^2}{a^2} + \frac{\left( y \cos\theta + x \sin\theta \right)^2}{b^2} = 1$$ So, substitute $x$ or $y$ with the corresponding maximum, $$\begin{aligned} x &= \pm \sqrt{a^2 \cos^2 \theta + b^2 \sin^2 \theta} \\ y &= \pm \sqrt{a^2 \sin^2 \theta + b^2 \cos^2 \theta} \\ \end{aligned}$$ and solve for the other coordinate.

For the right side (positive $x$ boundary), we get $$\begin{aligned} x_R &= \sqrt{a^2 \cos^2\theta + b^2 \sin^2\theta} \\ y_R &= \frac{(b^2 - a^2) \sin(2\theta)}{2 \sqrt{a^2 \cos^2\theta + b^2 \sin^2\theta}} \\ \end{aligned}$$ and for the left side (negative $x$ boundary), $$\begin{aligned} x_L &= -\sqrt{a^2 \cos^2\theta + b^2 \sin^2\theta} \\ y_L &= -\frac{(b^2 - a^2) \sin(2\theta)}{2 \sqrt{a^2 \cos^2\theta + b^2 \sin^2\theta}} \\ \end{aligned}$$ For the top side (positive $y$ boundary), we get $$\begin{aligned} x_T &= \frac{(b^2 - a^2) \sin(2\theta)}{2 \sqrt{a^2 \sin^2\theta + b^2\cos^2\theta}} \\ y_T &= \sqrt{a^2 \sin^2\theta + b^2\cos^2\theta} \\ \end{aligned}$$ and for the bottom side (negative $y$ boundary), $$\begin{aligned} x_B &= -\frac{(b^2 - a^2) \sin(2\theta)}{2 \sqrt{a^2 \sin^2\theta + b^2\cos^2\theta}} \\ y_B &= -\sqrt{a^2 \sin^2\theta + b^2\cos^2\theta} \\ \end{aligned}$$ and the axis-aligned bounding box is $(x_L, x_B) - (x_R, y_T)$.

Note that $\sin(2\theta) = \frac{1}{2}\cos(\theta)\sin(\theta)$; you do not need inverse trigonometric functions at all: $a$, $b$, $\cos\theta$, and $\sin\theta$ suffice.

(If the notation is unclear, $\cos^2\theta = ( \cos\theta )^2$.)

Glärbo
  • 241