1

Let $$a_n=\sum_{k=1}^{n}(\frac{1}{k})+\frac{1}{n+1}\binom{2n}{n}$$

I want to determine the generating function of $a_n$.

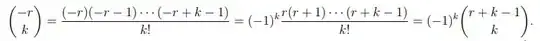
I could show that $$\binom{2n}{n}=(-4)^n(-1)^n\frac{1/2(1/2+1)(1/2+2)\dots(1/2+n-1)}{n!}=(-4)^n\binom{-1/2}{n}$$ using enter image description here And we have that $$\sum_{n\geq0}\binom{-1/2}{n}(-4)^nz^n=(1-4z)^{-1/2}$$

But I don't know how to arrive at (i.e. what to do with the factor $\frac{1}{n+1}$) $$\frac{1}{n+1}\binom{2n}{n}=\frac{1-(1-4z)^{1/2}}{2z}$$

The generating function of $$\sum_{k=1}^{n}\frac{1}{k}$$ should be $$\frac{z}{1-z}\cdot \underbrace{\sum_{n=1}^{\infty}\frac{z^n}{n}}_{={-\log(1-z)}}$$

or is this wrong?

1 Answers1

4

As shown in this answer, the generating function of the Harmonic Numbers is $$ \sum_{n=1}^\infty H_nx^n =-\frac{\log(1-x)}{1-x}\tag{1} $$ and as shown in this answer, the generating function of the Catalan Numbers is $$ \sum_{k=0}^\infty\frac1{k+1}\binom{2k}{k}x^k =\frac{1-\sqrt{1-4x}}{2x}\tag{2} $$ Your sequence seems to be the sum of these sequences, so its generating function would be $$ -\frac{\log(1-x)}{1-x}+\frac{1-\sqrt{1-4x}}{2x}\tag3 $$

robjohn
  • 353,833