I believe I've got a correct understanding of how flow network works.
Yet, I've bumped into a theoretical question that I'm not even sure if interpreted right. Here it is:
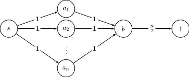
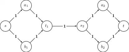
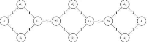
Provide an example of a network with n nodes and with integer capacities such that there is an exponential (i.e. greater than $c^n$ for some constant $c \gt 1$) number of different integer maximal flows in it. Two flows are considered different if they differ on at least one arc of the network
Unfortunately, I cannot post picture of a graph that I've constructed (due to the lack of 10 reputation), so I'll describe it formally
$V = \lbrace S, 1, 2, 3, T\rbrace$ $C(S,1) = s1$
$C(S,2) = s2$
$C(S,3) = s3$
$C(T,1) = t1$
$C(T,2) = t2$
$C(T,3) = t3$
$C(1,2) = ?$
$C(S,1) = ?$
So, one thing that I understood about that excercise, is that in order to have sufficient input flow and output capacity $$t1 + t2 + t3 \ge c^n \le s1 + s2 + s3$$
But what about $C(1,2)$ and $C(2,3)$? Maybe I've got totally wrong idea about question itself?
It would be a huge help even to paraphrase the task, as I think I'm reading it wrong.


$3\times 4$ vertices and
I've read both of proposed solutions and I think that they equally can be an answer to this problem, yet I found the first one to be more general.I've contacted my lecturer, who came up with this problem. He confirmed, these are suitable.
And yeah, I thought it was all about constructing flow network that gives outputs of $c^n$ different capacities, depending on what path you take. It turns out, It's either my formal english is pants, or my lecturer's.
– el_bulm Dec 25 '20 at 13:53