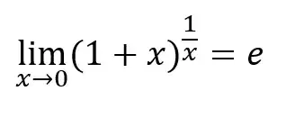
I'm solving some limits and in one of my examples I need to use the fact that:
I am, however, unable to prove that this is actually true. I believe I can't just substitue t=(1/x) because than we can not say where such t is going. I tried to find the proof online, but they all rely on L'Hôpital's rule, which I am trying to avoid. How can I prove this equality without it?
