In Chapter 27 of Pinter's "A Book of Abstract Algebra", a proof is provided for the existence of an extension field $E$ of $F$. I think the only necessary background is some framework that was omitted from the proof but provided on earlier pages:
$\sigma_c$ is the substitution function defined as $\sigma_c(a(x))=a(c)$ where $c \in E$, the extension field of $F$, which is a subfield of $E$. $\sigma_c$ has been proven to be a homomorphism.
$J_c$ (denoted as $J$ in the proof) is the kernel of $\sigma_c$ and has been demonstrated to be a principal ideal that is expressed as $J_c=\langle p(x) \rangle$, where $p(x)$ is the unique monic polynomial of lowest degree in $J_c$
$\operatorname{range} \sigma_c = \{a(c): a(x) \in F[x]\}$, and is denoted as $F(c)$
Using the fundamental homomorphism theorem, we conclude from 1,2 and 3 that $F(c) \cong F[x]/\langle p(x) \rangle$
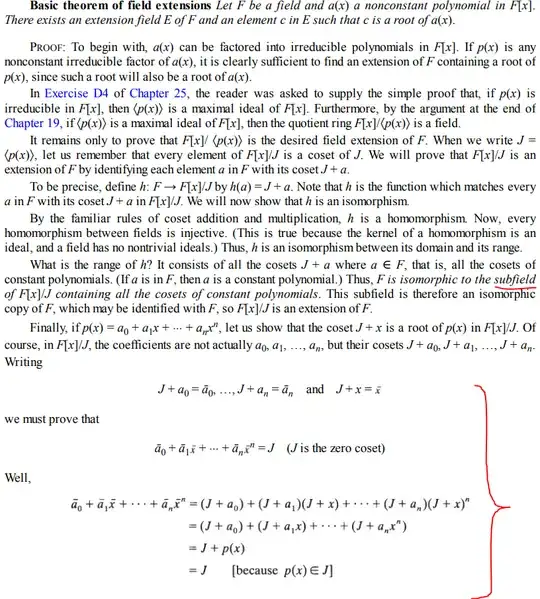
With these established, here is the proof provided by Pinter:
I understand the majority of the proof; however, I have denoted in $\color{#c00}{red}$ two areas of the proof that have me a little confused.
Firstly, it is not immediately apparent to me that the range of $h$ is a proper subset of all cosets found in the quotient ring. Specifically, how do I know that the cosets that each element of $F$ map to do not match up $1$ to $1$ with all of the cosets found in $F[x]/\langle p(x) \rangle$?
It seems like there are obviously many different cosets that have constant polynomial representatives ...but I do not see how I know for certain that the "number" (probably not the best term) of cosets that elements from $F$ map into is "less than" (probably not the best term) the number of cosets that, in total, comprise $F[x]/\langle p(x)\rangle$. i.e. there are clearly cosets of $F[x]/\langle p(x)\rangle$ that do not have constant polynomial representatives but I do not see why.
Secondly, while I understand the construction that is taking place in the $\color{#c00}{bracketed}$ portion of the proof, I do not see the motivation to establish this. Is it just to confirm that the field $F[x]/\langle p(x) \rangle$, when interpreted from the perspective of a polynomial, is behaving like a polynomial? Also, this is the first time I have ever seen a variable itself (e.g. $J+x$) function as a root...as opposed to some constant...but I suppose this arises because $p(x)$ is known to map to $0$ when $x$ is substituted for $c$ via $\sigma_c$.
Any clarification is greatly appreciated!
