This extended comment has the sole purpose of showing a simple Mathematica code to print the $P(x)$ polynomials up to the tenth degree that satisfy the relation $P(x^2-2) - (P(x))^2 + 2 = 0$.
P[x_] = Sum[ToExpression[StringJoin["a", ToString[n]]] x^n, {n, 0, 10}];
coeff = CoefficientList[P[x^2 - 2] - P[x]^2 + 2, x];
zeros = ConstantArray[0, Length[coeff]];
sol = Solve[coeff == zeros];
poly = Table[P[x] /. sol[[n]], {n, Length[sol]}];
TableForm[Sort[poly]]

It's clear that, for $n \ge 1$, behind all this there is a sequence function, in fact:
Q[x_] = FindSequenceFunction[Sort[poly][[3 ;; All]], n];
TraditionalForm[Q[x]]
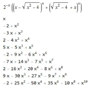
TableForm[Table[Expand[Q[x]], {n, 10}]]

From this simple numerical experiment I deduce that the relation:
$$P(x^2-2) - (P(x))^2 + 2 = 0$$
is satisfied by:
$$
P(x) = -1
\; \; \; \vee \; \; \;
P(x) = \left(\frac{x-\sqrt{x^2-4}}{2}\right)^n + \left(\frac{x+\sqrt{x^2-4}}{2}\right)^n
$$
where is assumed $n \in \mathbb{Z}$.