Let me make (almost) everything explicit.
A valued field $(k,v)$ (whose valuation ring and residue field I will respectively denote by $\mathcal{O}$ and $\kappa$) is said to be henselian whenever it verifies Hensel's lemma, the statement of which is exactly the same as the one you might know for $\mathbf{Q}_p$:
If $f\in\mathcal{O}\left[X\right]$ is monic then every root of
multiplicity one of $\overline{f}\in\kappa\left[X\right]$ (the residue
of $f$ in kappa) lifts uniquely to a root of $f$ in $\mathcal{O}$.
As you mentioned, this is equivalent to saying that the local ring $\mathcal{O}$ is henselian and the link you give from the Stakcs Project gives several equivalent conditions.
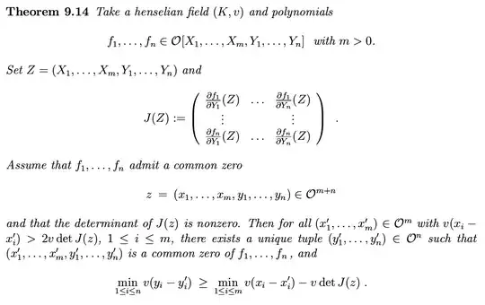
Nevertheless, the fact that $\mathcal{O}$ is a valuation ring gives you additional properties (I mean other than the one from the Stacks Project's link you gave) equivalent to Hensel's lemma, which you can find in Chapter 9 of Kuhlmann's book on Valuation theory. I will use the following property which is equivalent to Hensel's lemma (the caption is excerpt from Kuhlmann's book) and which is a form of the "implicit function theorem" that KReiser seems to mention in his comment:

As an exercise, you can deduce the following variation of the prequel:
Corollary: If the $f_i$'s are being taken over $k$ (not only over $\mathcal{O}$)
and $z=(x,y)$ is a common zero of the $f_i$'s in $k^{m+n}$ such that
$J(z)\neq 0$, then there exists $\alpha>0$ such that for all
$x'=(x'_1,\dots,x'_m)\in x+\mathcal{O}^m$ verifying
$v(x'_i-x_i)>2\alpha$ (for $1\leq i\leq m$) there exists a unique
tuple $y'=(y'_1,\dots,y'_n)\in y+\mathcal{O}^n$ such that $(x',y')$ is
a common zero of the $f_i$'s and $v(y'_i-y_i)\geq v(x'_i-x_i)-\alpha$.
Hence the following "implicit function theorem":
Implicit function theorem: If the $f_i$'s are taken over $k$ and
$z=(x,y)\in k^{m+n}$ is a common root of the $f_i$'s such that
$J(z)\neq0$, then there exists open neighbourhoods $U$ of $x$, $V$ of
$y$ and $\phi:U\rightarrow V$ continuous such that for all $(x',y')\in U\times V$ one has $f(x',y')=0$ if and only if $y=\phi(x)$.
In the thread you pointed to, Laurent Moret-Bailly claims the following:
Claim 1: if $(k,v)$ is a henselian valued field then for any $f:Y\rightarrow X$ étale morphism of $k$-varieties (here "variety" stands for locally of finite type), the induced continuous map $Y(k)\rightarrow X(k)$ is open.
Actually, one can do better:
Claim 2: if $(k,v)$ is a henselian valued field then for any $f:Y\rightarrow X$ étale morphism of $k$-varieties (here "variety" stands for locally of finite type), the induced continuous map $Y(k)\rightarrow X(k)$ is a local homeomorphism.
To answer your first question, I will prove Claim 2. Actually, I do not know what your background is, but you first might be wondering what the topology on $X(k)$ is, whenever $X$ is a $k$-variety and $k$ is a topological field: to say it very quickly, first assume that X is affine with ring of functions $k\left[X_1,\dots,X_n\right]/(f_1,\dots,f_r)$ so that $X(k)$ is identified to the zero locus of $(f_1,\dots,f_r)$ in $k^n$ and endow this zero locus with the topology induced by that of $k^n$; if $X$ is not affine, one verifies that the topologies may be glued.
Proof of Claim 2: Let $(k,v)$ be a henselian field and $f:Y\rightarrow X$ an étale morphism
of $k$ varieties. Clearly, one may assume that $Y$ and $X$ are affine:
since $f$ is étale, write $X=\mathrm{Spec}(A)$ where
$A=k\left[y_1,\dots,y_r\right]/(g_1,\dots,g_s)$ and
$Y=\mathrm{Spec}(B)$ where
$B=A\left[x_1,\dots,x_n\right]/(f_1,\dots,f_n)=k\left[x_1,\dots,x_n,y_1,\dots,y_r\right]/(f_1,\dots,f_n,g_1,\dots,g_s)$
and $J(x_1,\dots,x_n,y_1,\dots,y_r)=\mathrm{det}\left(\frac{\partial
f_i}{\partial x_j}\right)_{1\leq i,j\leq n}\in B^\times$.
Then, $Y(k)\subseteq k^{n+r}$ is the zero locus of
$(f_1,\dots,f_n,g_1,\dots,g_s)$ and $X(k)\subseteq k^r$ is the zero
locus of $(g_1,\dots,g_s)$ and the map $f(k):Y(k)\rightarrow X(k)$
maps a tuple $(x_1,\dots,x_n,y_1,\dots,y_r)$ to the tuple
$(y_1,\dots,y_r)$. Let $\xi=(x_1,\dots,x_n,y_1,\dots,y_r)\in Y(k)$:
since $\xi$ is a common zero of the $f_i$'s and $J(\xi)\neq 0$, the
implicit function theorem gives an open neighbourhood $V$ of
$(y_1,\dots,y_r)$ in $X(k)$ and an open neighbouhrood $U$ of
$(x_1,\dots,x_n)$ in $Y(k)$ such that $f(k)$ induces a homeomorphism
$U\rightarrow V$. Thus, $f(k)$ is a local homeomorphism which proves
Claim 2.
As for your second question, it is not very clear. Actually, if I understood well, you would like to avoid valuations and deal with $k$ as the fraction field of a henselian local ring $R$ (which is not necesarily a valuation ring): but then, what is the topology you give to $k$? The only one I could think about is the $\mathcal{m}_R$-adic one but then you would not retrieve the case of a henselian valued field, since there exist henselian valued fields whose valuation group has an uncountable cofinality.