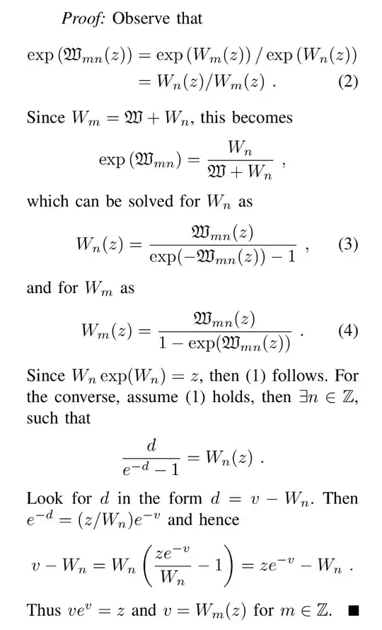
In my answer to this question, $W(.)$ being Lambert function, I indirectly showed that $$W_0(x)-W_{-1}(x)=1 \implies x=-\frac {1} {e-1}\, \exp \left( \frac {-1} {e-1}\right)$$ Is there any way to prove it directly ?
Edit after Szeto's answer
Back here, this means that $$W_0(x)=\frac{1}{1-e} \qquad \text{and} \qquad W_{-1}(x)=\frac{e}{1-e}$$ which do not seem do appear as special values of Lambert function.
