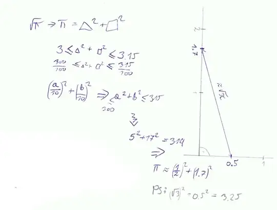
There are several proofs to the solution of the well-known Basel Problem, i.e. $$\sum_{n=1}^\infty \frac 1{n^2}=\frac {\pi^2}6$$
Is is possible to create a geometrical interpretation of this identity in the form of the area of $\frac 16$ of a circle with radius $\sqrt{\pi}$?





