Use the triangle inequalities to prove that:
$$\frac{|a+b|}{1+|a+b|}\le\frac{|a|}{1+|a|} + \frac{|b|}{1+|b|}$$ for all $a,b\in\mathbb{R}$.
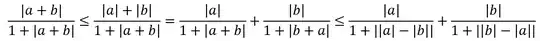
I've made it this far, but it doesn't seem to be helping much; what I end up with at the end isn't very useful:
Clearly I'm taking a wrong turn somewhere, but I'm not sure what else to try. Any advice?
