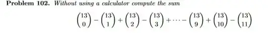
In general I want to know how to solve these types of questions. I know that you have to use the binomial theorem.
or $\binom{99}{1}-\binom{99}{2}+\binom{99}{3}-\binom{99}{4}+...+-\binom{99}{96}+\binom{99}{97}-\binom{99}{98}$
Please don't just give me the answers I want to understand what you are doing.
