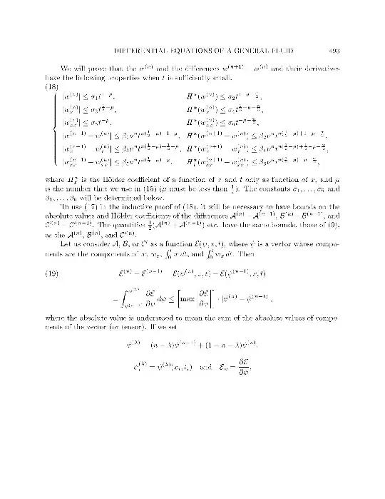
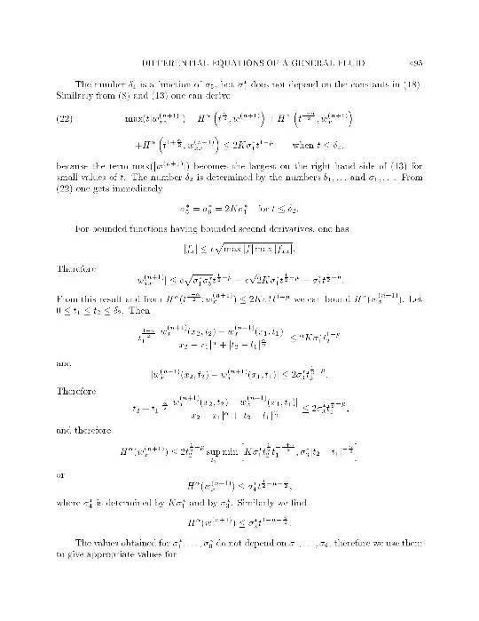
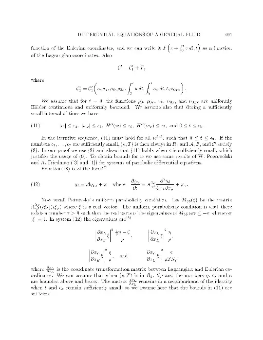
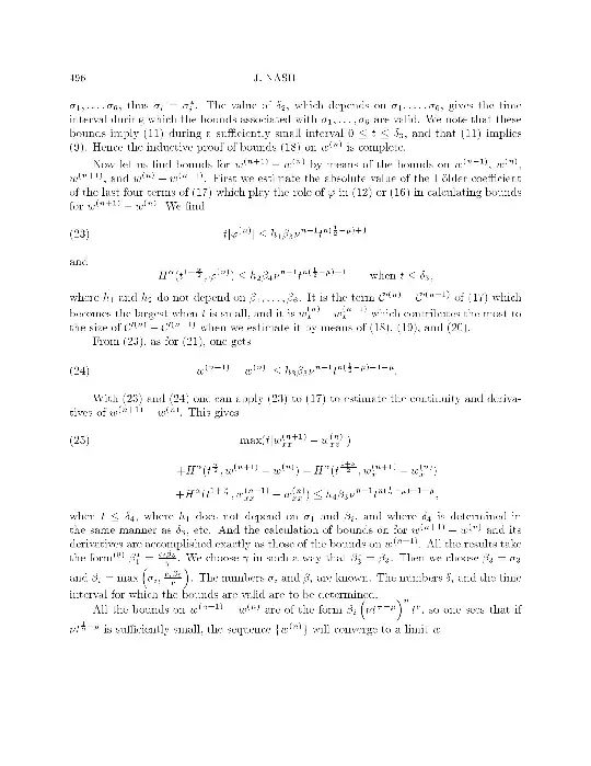
Is anyone aware of an English translation of the following paper of John Nash?
- John Nash, Le Probleme de Cauchy pour les equations differentielles d'un fluide general, Bulletin de la Société Mathématique de France, tome 90 (1962), p. 487-497.
Is anyone aware of an English translation of the following paper of John Nash?
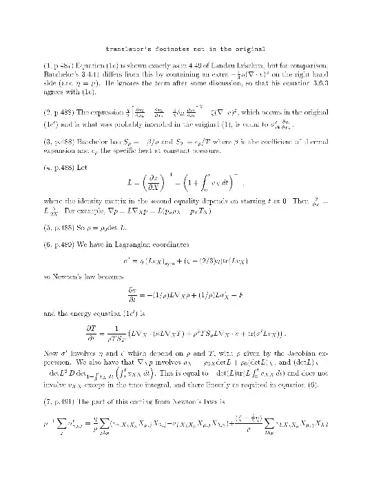
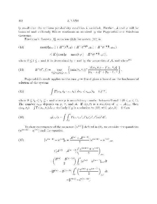
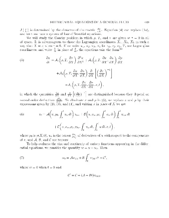
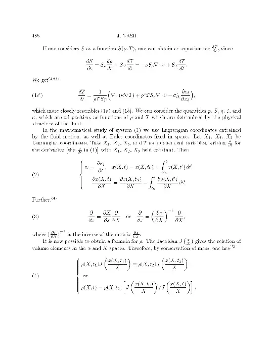
The broken link www.math.cornell.edu/~bterrell/nash.ps was archived by the Wayback Machine. Here's the latest snapshot. Unfortunately it was a while before the comment of Terrell, so perhaps it is not complete. I've converted the .ps file to thirteen .pngs, one for each page, and uploaded them to this imgur album. I don't suppose many people will be using the bottom of this page, so I have included the pictures directly in this Answer.
PS: I was a little too enthusiastic about posting this answer, but I have now asked Bob Terrell for permission on the linked MO post, and he had this to say: (screenshot of comment)
@CalvinKhor, that's alright with me, and I'm happy if anyone can learn from it. It should be clear that it was my attempt to begin understanding the paper. I didn't get too far, but after all to study 3D compressible viscous flow in the Lagrange description is a big thing.
