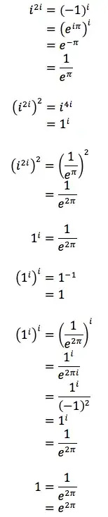
I seem to have proven that $e^{2\pi} = 1$. What is my mistake?
See here for proof.
Asked
Active
Viewed 1,510 times
0
DonAntonio
- 214,715
Challenger5
- 474
-
It would be best for you to format the proof, within this proof, and not force users to chase links. – amWhy Oct 22 '16 at 20:44
-
1$(ab)^n)=a^n b^n$ is not true in general for complex numbers, for example $1=\sqrt{1}=\sqrt{(-1)(-1)}=\sqrt{-1}\sqrt{-1}=i^2=-1$ is clearly false. – Sophie Oct 22 '16 at 20:46
-
If you define, as you seem to do $$x^{\alpha}:=\exp\left(\alpha\ln \lvert x\rvert+i\alpha\arccos\frac{\Re( x)}{\lvert x\rvert}\right)$$ then the identity $x^{\alpha\beta}=\left(x^\alpha\right)^\beta$ no longer holds. – Oct 22 '16 at 20:51
-
Almost exactly the same question was asked yesterday, see also For which complex $a$, $b$, $c$ does $(a^b)^c = a^{bc}$ hold? – Andrew D. Hwang Oct 22 '16 at 20:54
1 Answers
4
$i^{2i} \neq (-1)^i$; this behavior with powers works over the reals, but because of branching, you can't do this over arbitrary complex numbers. You always want to go back to the exp function when computing powers, just to be safe.
SquirtleSquad
- 1,824
-
@Challenger5 The right way to thank someone on this site is to accept their answer (the check mark). You can upvote it too (the up arrow). If there's more than one answer you can upvote several (but can only accept one). – Ethan Bolker Oct 22 '16 at 21:07
