28

While reading, there is an isomorphism that I'm having trouble fulling seeing.

If you have two algebras $A$ and $B$ over a commutative ring $R$, with $I$ and $J$ two sided ideals in $A$ and $B$, then you should have an isomorphism $$ (A/I)\otimes (B/J)\cong (A\otimes B)/(I\otimes 1+1\otimes J). $$

Now there are bilinear maps from $A/I\times B/J\to (A\times B)/(I+J)$ and so the universal property of the tensor product gives unique maps $(A/I)\otimes (B/J)\to (A\times B)/(I+J)$. Does this somehow get to the isomorphism above, or am I completely off track? What is the quick way to see this? Thanks!

  • 8
    $I \otimes 1 + 1 \otimes J$ is no ideal, so you probably mean the ideal generated by it, i.e. $I \otimes B + A \otimes J$. On the other hand, you can define $A/I$ for every subset $I \subseteq A$ as a representing object of the morphisms on $A$ vanishing on $I$, but then we have just $A/I = A / \langle I \rangle$. So there is no real problem with your notation, but one has to be a little bit careful as a beginner. – Martin Brandenburg Mar 23 '12 at 10:46

5 Answers5

24

By the universal properties of quotient algebras, tensor products ( = coproducts of algebras), we have for every $R$-algebra $T$:

$\hom(A/I \otimes B/J,T) \cong \hom(A/I,T) \times \hom(B/J,T)$

$\cong \{f \in \hom(A,T),g \in \hom(B,T) : f|_I = 0, g|_J = 0\}$

$\cong \{h \in \hom(A \otimes_R B,T) : f:=h(- \otimes 1), g:=h(1 \otimes -) \text{ satisfy } f|_I = 0,~ g|_J = 0\}$

$\cong \{h \in \hom(A \otimes_R B,T) : h|_{I \otimes 1 + 1 \otimes J}=0\}$

$\cong \hom((A \otimes_R B)/(I \otimes 1 + 1 \otimes J),T)$

By the Yoneda lemma, we are done.

Remark: This is one of the thousands of trivial isomorphisms in basic algebra which are usually proved (in textbooks, lectures, etc.) in a too complicated way. Instead, you can always just use the Yoneda lemma and the involved universal properties. And then there is nothing to do at all ... By the way, this abstract approach is the only one which is applicable in more abstract contexts, where you can't use elements anyway.

Ragib Zaman
  • 36,065
  • Dear Martin: $+1$. Nitpicking: Instead of $${f \in\hom(A,T),g\in\hom(B,T):f|_I=0,g|_J=0}$$ I'd have written $${(f,g)\in\hom(A,T)\times\hom(B,T):f|_I=0,g|_J=0}$$ or $${f \in\hom(A,T):f|_I=0}\times{g\in\hom(B,T):g|_J=0}.$$ – Pierre-Yves Gaillard Mar 23 '12 at 14:03
  • 6
    You can't do these set-theoretic formalities anymore when you are dealing with more complicated sets or even categories. As for the notation, I always put forward the concept instead of some set-theoretic rule. – Martin Brandenburg Mar 23 '12 at 14:28
  • Thank you Martin, I can follow this well. – Danielle Intal Apr 08 '12 at 23:23
10

Let's solve your problem in two steps:

Step 1
Consider the exact sequence of $R$-modules $0\to I\to A\to A/I \to 0$ .
Tensoring with $B$ and remembering that tensoring is right exact we obtain
the exact sequence $I\otimes_R B \to A\otimes_R B\to A/I\otimes_R B\to 0$.
Writing $I^e$ for the image of $I\otimes_R B \to A\otimes_R B \;$ [the exponent e in $I^e$ stands for "extension of ideal $I$ to ring $A\otimes_R B $" ] we get the identification of $R$-algebras $$A/I\otimes_R B\cong (A \otimes_R B)/I^e:\bar a\otimes b \mapsto \overline {a \otimes b} \quad (*)$$

Step 2
Applying the corresponding result in Step 1 to the right hand side of the tensor product we get $$A/I\otimes_R B/J\cong (A/I\otimes_R B)/J^e \quad (**)$$
Applying Step 1 again, we replace $A/I\otimes_R B$ in $(**)$ by $(A\otimes_R B)/I^e$ and get
$$(A/I\otimes_R B)/J^e \cong \frac {(A\otimes_R B)/I^e}{I^e+J^e/I^e} \quad (***)$$ where the ideal $I^e +J^e$ , denoted $I\otimes 1+1\otimes J$ in Danielle's question, is the subgroup of $A\otimes_R B$ generated by elements of the form $i\otimes b+a\otimes j$ where $i\in I, b\in B, j\in J,\, a\in A$

Conclusion
Finally thanks to Noether we obtain from $(**)$ and $(***) $ the required final identification of $R$-algebras : $$ A/I\otimes_R B/J\cong (A\otimes_R B)/(I^e +J^e):\bar a\otimes \bar b\mapsto \overline {a\otimes b} \quad (****) $$

  • Thanks for this fine answer, Georges. – Danielle Intal Apr 08 '12 at 23:23
  • Dear @Georges, in the end $I^e+J^e$ is an ideal or a subgroup? (For commutative rings it is definitely an ideal.) – user26857 Sep 30 '15 at 14:51
  • 3
    Dear @user26857, yes : if $I,J$ are two-sided ideals then $I^e+J^e$ is a two-sided ideal. This is stated in Bourbaki, just before Algèbre, III, §4, Proposition 1, page 34 (That Proposition 1 is the isomorphism $(****)$ in my answer ) To tell the truth I had only thought of the commutative case when writing my answer, so that it is sheer luck that my answer is also correct in the non-commutative case. But please don't disclose that shameful secret :-) – Georges Elencwajg Sep 30 '15 at 20:42
  • Can you provide us with a reference for algebra tensor products?@GeorgesElencwajg –  Feb 20 '21 at 02:35
2

Think about $$ A\times B \rightarrow A/I \otimes B/J \quad\text{induced from}\quad A \times B \rightarrow A/J \quad \text{and} \quad A\times B \rightarrow B/J $$ giving you a homomorphism $$ \Phi:A \otimes B \rightarrow A/I \otimes B/J \quad \Phi(a\otimes b)=(a+I)\otimes(b+J) $$ It is obvious that $I\otimes 1 \subseteq \operatorname{Ker}\Phi$ and $1\otimes J \subseteq \operatorname{Ker}\Phi$ so their sum is also in the kernel. It remains to show that the sum is the kernel.

Note that $I\otimes 1$ is the ideal generated by $f(I)$ for $f:A\rightarrow A\otimes B$ and $1\otimes J$ is the ideal generated by $g(J)$ for $g:B \rightarrow A\otimes B$. Then there are homomorphisms $$ A/I \rightarrow A\otimes B/(f(I)+g(J)) \quad \text{and} \quad B/J \rightarrow A\otimes B/(f(I)+g(J)) $$ and hence $$ A/I \otimes B/J \rightarrow A\otimes B/(f(I)+g(J)) \rightarrow A\otimes B/\operatorname{Ker}(\Phi) \rightarrow A/I \otimes B/J $$ Can you show that $f^{-1}(f(I)+g(J))=I$ and $g^{-1}(f(I)+g(J))=J$?

Blah
  • 5,484
1

The quick way to see this is to just write down the isomorphism. In this case it's "obvious": it sends $a \otimes b$ to $a \otimes b$. You just need to check it and its inverse are well-defined.

As to your approach, first what do you actually mean by $(A \times B)/(I + J)$? Was that supposed to be $I \times B + A \times J$? Or maybe $I \times 0 + 0 \times J$ or even $I \times J$?

You are off track a bit -- whatever you mean by the target space, the map $A/I\times B/J\to (A\times B)/(I+J)$ is going to be linear, not bilinear. I'm sure your idea will work once you sort out what it is you have and what you actually need to show. (but it will be a bit messy, I imagine)

EDIT: Now that I've thought about, it's not so messy if you organize it right. The way I thought of it, the first step is to realize:

  • A homomorphism $(A \otimes B) / (I \otimes 1 + 1 \otimes J) \to C$

is the "same" thing as

  • A homomorphism $\phi: A \otimes B\to C$ with $\phi(i \otimes 1) = \phi(1 \otimes j) = 0$

which is the "same" thing as

  • A bilinear map $\phi : A \times B \to C$ with $\phi(i,1) = \phi(1,j) = 0$

which is....

1

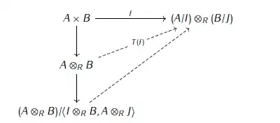
A direct proof of this fact.

Define the map $g\colon (A/I)\times (B/J)\longrightarrow (A\otimes_R B)/\langle I\otimes_R B, A\otimes_R J\rangle$ by $g(a+I,b+J)=a\otimes_R b+\langle I\otimes_R B, A\otimes_R J\rangle$.

Of course $g$ is well-defined and $R$-bilinear, therefore we have, by universal proprerty of the tensor product, an induced homomorphism $T(g)$.

enter image description here

(Notice that $(A\times B)/(I\times J)\approx (A/I)\times (B/J)$). We claim that $g$ is the wanted isomorphism. As done above, we define an inverse of $g$. To do this it's enough to use the universal proprerty of the tensor product and that of the quotient.

enter image description here

Here $f\colon A\times B\longrightarrow (A/I)\otimes_R (B/J)$ is defined by $f(a,b):= (a+I)\otimes_R(b+J)$.