The Riemann Zeta function is defined for $s > 1$ as
\begin{align} &\prod _{n=1}^{\infty}\dfrac{1}{1 -\ p_{n}^{\ \ -s}}\\ \end{align}
It is possible to extend the zeta function to semiprimes with
\begin{align} &\prod _{n=1}^{\infty}\dfrac{1}{1 -\ q_{n}^{\ \ -s}}\\ \end{align}
where $q$ runs through the semiprimes $4,6,9\ldots$
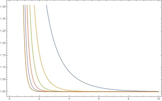
and similarly, for all almost primes. Below is a plot of the zeta functions for the k-almost primes $1\leq k\leq 6$:

I suspect these functions are rather difficult to approach analytically. Interestingly though, it appears that $\zeta(2s)$ bounds the semiprime zeta function from below:

and so on, though the bound gets progressively weaker ... is this likely to be a true statement?
\begin{align} &\prod _{i=1}^n \frac{1}{\left(1-p_i{}^{1-c s}\right)^{c}} \end{align}
with $c=e+k-2$ is closer (though not a lower bound). For $k=2$ (ie semiprime zeta):

The reciprocals of k-almost primes have been studied by Richard J. Mathar (given in the link in the OEIS sequence here), but I am not aware of any references to the extended zeta functions as outlined above. I would be grateful if anyone knows of any research in this area, or could shed any further light on these functions.