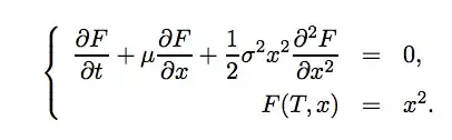
I'm trying to solve this PDE using Feynman-Kac formula

Now i follow the regular steps

Here is where I don't know how to proceed. How do I calculate this expectation?
I'm trying to solve this PDE using Feynman-Kac formula

Now i follow the regular steps

Here is where I don't know how to proceed. How do I calculate this expectation?
As I've mentioned in the comment, just use the SDE that you derived to obtain ODEs for the moments of $X_T$. That is, let $m(t) = \mathsf EX_t$, then $\mathrm dm_t = \mu\mathrm dt$. A similar equation you can derive for $v(t) = X^2_t$ using Ito's lemma. That's pretty much it.
Edit: you will get the following SDE $$ \mathrm dX^2_t = (2\mu X_t +\sigma^2 X_t^2)\mathrm dt + 2 \sigma X^2_t\mathrm dB_t $$ so that $$ d v(t) = (2\mu m(t) + \sigma^2 v(t) )\mathrm dt $$ and if you've found $m(t)$ as I suggested above, you just need to solve this simple ODE for $v$. Since it is non-homogeneous, you can e.g. use Lagrange method of variating the constant.