I have three different subplotts, each with their own legend. I want to combine each of these 3 legends into one common legend at the bottom of the plot. I have found many similar questions combining the legends of different sub plots into one common legend when all the subplots had the same legend. Yet, not when the legends are different. Attempts to change the code were not succesful.
grid_arrange_shared_legend <- function(...) {
plots <- list(...)
g <- ggplotGrob(plots[[1]] + theme(legend.position = "bottom"))$grobs
legend <- g[[which(sapply(g, function(x) x$name) == "guide-box")]]
lheight <- sum(legend$height)
grid.arrange(
do.call(arrangeGrob, lapply(plots, function(x)
x + theme(legend.position="none"))),
legend,
ncol = 1,
heights = unit.c(unit(1, "npc") - lheight, lheight))
}
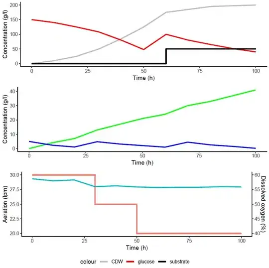
data = read.table("fermentation_run.csv", header=TRUE, sep=",", fileEncoding="UTF-8-BOM")
p1 <- ggplot(data, aes(x = time)) +
geom_line(aes(y = cdw*5, colour = "CDW"), size=1) +
geom_line(aes(y = glucose, colour = "glucose"), size=1) +
geom_step(aes(y = substrate, colour = "substrate"), size=1) +
theme_classic() + ylab("Concentration (g/l)") +
xlab("Time (h)") +
scale_colour_manual(values = c("grey", "red", "black"))
theme(legend.position="bottom", legend.title=element_blank())
p2 <- ggplot(data, aes(x=time)) +
geom_line(aes(y = alkyl, colour = "alkyl SS"), size=1) +
geom_line(aes(y = oleyl, colour = "oleyl alcohol"), size=1) +
theme_classic() +
xlab("Time (h)") +
ylab("Concentration (g/l)") +
scale_colour_manual(values = c("green", "blue"))
theme(legend.position="bottom", legend.title=element_blank())
p3 <- ggplot(data, aes(x=time)) +
geom_step(aes(y = aeration, colour="aeration"), size=1) +
geom_line(aes(y = do/2, colour="dissolved oxygen"), size=1) +
theme_classic() +
xlab("Time (h)") +
ylab("Aeration (lpm)") +
scale_y_continuous(sec.axis = sec_axis(~.*2, name = "Dissolved oxygen (%)")) +
theme(legend.position="bottom", legend.title=element_blank())
grid_arrange_shared_legend(p1, p2,p3)
This returns only the legend of the first plot and not of the three plots combined.



