I there,
I would like to use the viridis color scale, but it doesn't work.. And I would like to obtain just one legend with color and alpha scale in one, so one legend with color and trasparency together for every boxplot...
install.packages("viridis")
library(viridis)
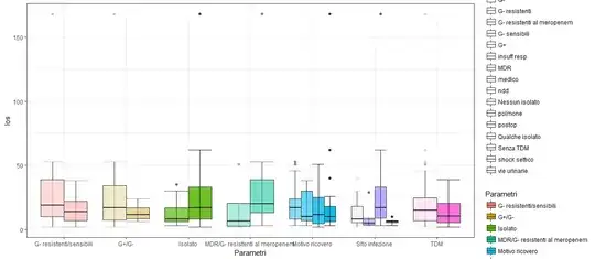
b<-ggplot(boxp, aes(x = boxp$causa, y = boxp$los, fill = boxp$causa,
alpha=boxp$tdm)) + geom_boxplot() + stat_boxplot(geom='errorbar')+scale_color_viridis(discrete=TRUE)+ theme_bw()
b + labs(x="Parametri", y="los", fill="Parametri")
Here's what I obtain..really a poor graph..(for the Isolati observations seems that alpha is not working..)
How can I get a better one? Thank you