Suppose I want to approximate a half-cosine curve in SVG using bezier paths. The half cosine should look like this:

and runs from [x0,y0] (the left-hand control point) to [x1,y1] (the right-hand one).
How can I find an acceptable set of coefficients for a good approximation of this function?
Bonus question: how is it possible to generalize the formula for, for example, a quarter of cosine?
Please note that I don't want to approximate the cosine with a series of interconnected segments, I'd like to calculate a good approximation using a Bezier curve.
I tried the solution in comments, but, with those coefficients, the curve seems to end after the second point.

.
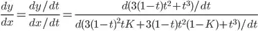
, this simplifies to
at the point t=0.5.


