After reading many pages about FRP I finally came across this enlightening writing about FRP, it finally made me understand what FRP really is all about.
I quote below Heinrich Apfelmus (author of reactive banana).
What is the essence of functional reactive programming?
A common answer would be that “FRP is all about describing a system in
terms of time-varying functions instead of mutable state”, and that
would certainly not be wrong. This is the semantic viewpoint. But in
my opinion, the deeper, more satisfying answer is given by the
following purely syntactic criterion:
The essence of functional reactive programming is to specify the dynamic behavior of a value completely at the time of declaration.
For instance, take the example of a counter: you have two buttons
labelled “Up” and “Down” which can be used to increment or decrement
the counter. Imperatively, you would first specify an initial value
and then change it whenever a button is pressed; something like this:
counter := 0 -- initial value
on buttonUp = (counter := counter + 1) -- change it later
on buttonDown = (counter := counter - 1)
The point is that at the time of declaration, only the initial value
for the counter is specified; the dynamic behavior of counter is
implicit in the rest of the program text. In contrast, functional
reactive programming specifies the whole dynamic behavior at the time
of declaration, like this:
counter :: Behavior Int
counter = accumulate ($) 0
(fmap (+1) eventUp
`union` fmap (subtract 1) eventDown)
Whenever you want to understand the dynamics of counter, you only have
to look at its definition. Everything that can happen to it will
appear on the right-hand side. This is very much in contrast to the
imperative approach where subsequent declarations can change the
dynamic behavior of previously declared values.
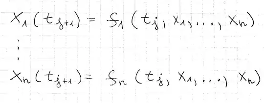
So, in my understanding an FRP program is a set of equations:

j is discrete: 1,2,3,4...
f depends on t so this incorporates the possiblilty to model external stimuli
all state of the program is encapsulated in variables x_i
The FRP library takes care of progressing time, in other words, taking j to j+1.
I explain these equations in much more detail in this video.
EDIT:
About 2 years after the original answer, recently I came to the conclusion that FRP implementations have another important aspect. They need to (and usually do) solve an important practical problem: cache invalidation.
The equations for x_i-s describe a dependency graph. When some of the x_i changes at time j then not all the other x_i' values at j+1 need to be updated, so not all the dependencies need to be recalculated because some x_i' might be independent from x_i.
Furthermore, x_i-s that do change can be incrementally updated. For example let's consider a map operation f=g.map(_+1) in Scala, where f and g are List of Ints. Here f corresponds to x_i(t_j) and g is x_j(t_j). Now if I prepend an element to g then it would be wasteful to carry out the map operation for all the elements in g. Some FRP implementations (for example reflex-frp) aim to solve this problem. This problem is also known as incremental computing.
In other words, behaviours (the x_i-s ) in FRP can be thought as cache-ed computations. It is the task of the FRP engine to efficiently invalidate and recompute these cache-s (the x_i-s) if some of the f_i-s do change.