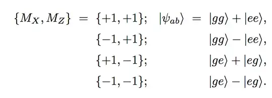
I am reading Fowler et al's paper on the surface code.. I do not understand how to initialize a logical qubit in an arbitrary state with the surface code. I do understand how to initialize the qubit in logical $|{0}\rangle$ and $|{1}\rangle$, but not how to initialize in an arbitrary superposition.
In Appendix B he shows that after the measurements in the circuit below,
the middle two qubits are in the one of the following four states:


