On second thought, implementing this unitary is a lot simpler than I initially anticipated.
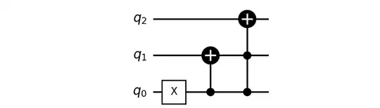
As I mentioned in the comments, this unitary resembles that of a conventional decremeter circuit:

with unitary:
$$
U_{x-1} = \begin{bmatrix}
0 & 1 & 0 & 0 & 0 & 0 & 0 & 0 \\
0 & 0 & 1 & 0 & 0 & 0 & 0 & 0 \\
0 & 0 & 0 & 1 & 0 & 0 & 0 & 0 \\
0 & 0 & 0 & 0 & 1 & 0 & 0 & 0 \\
0 & 0 & 0 & 0 & 0 & 1 & 0 & 0 \\
0 & 0 & 0 & 0 & 0 & 0 & 1 & 0 \\
0 & 0 & 0 & 0 & 0 & 0 & 0 & 1 \\
1 & 0 & 0 & 0 & 0 & 0 & 0 & 0 \\
\end{bmatrix}
$$
This unitary differs from the one you want in that it maps:
$$ U_{x-1}|000\rangle = |111\rangle \; \text{ and } \; U_{x-1}|111\rangle = |110\rangle $$
but you want:
$$ P|000\rangle = |110\rangle \; \text{ and } \; P|111\rangle = |111\rangle $$
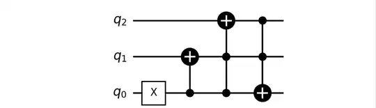
So all you need is to add a $CCX$ gate to flip the least significant bit when the two most significant bits are $1$:

This will give you the unitary you are looking for:
$$
P = \begin{bmatrix}
0 & 1 & 0 & 0 & 0 & 0 & 0 & 0 \\
0 & 0 & 1 & 0 & 0 & 0 & 0 & 0 \\
0 & 0 & 0 & 1 & 0 & 0 & 0 & 0 \\
0 & 0 & 0 & 0 & 1 & 0 & 0 & 0 \\
0 & 0 & 0 & 0 & 0 & 1 & 0 & 0 \\
0 & 0 & 0 & 0 & 0 & 0 & 1 & 0 \\
1 & 0 & 0 & 0 & 0 & 0 & 0 & 0 \\
0 & 0 & 0 & 0 & 0 & 0 & 0 & 1 \\
\end{bmatrix}
$$