Is it true that every locally compact separable Hausdorff space is $\sigma$-compact?
-
If I remember correctly this is true for locally compact groups - I believe it is in Serge Lang "Real analysis" in the sections on the Haar measure, or in Loomis book "Abstract Harmonic Analysis". – AD - Stop Putin - Jan 04 '12 at 16:21
-
4@AD. Yes, this is true. Indeed, let $G$ be a separable locally compact topological group, $U$ be a compact neighborhood of the unit, and $D$ be a countable dense subset of the group $G$. Then $xU\cap D\ne\varnothing$ for each element $x\in G$, so $G=DU^{-1}$, which is a $\sigma$-compact set. – Alex Ravsky Nov 18 '17 at 08:27
-
I assume the asker knows this, but a sufficient condition, stronger than separability but similar, is second countability. I.e. locally compact + second countable does imply sigma compact http://nlab-pages.s3.us-east-2.amazonaws.com/nlab/show/locally+compact+and+second-countable+spaces+are+sigma-compact In case it is useful for people looking at similar questions – hasManyStupidQuestions Feb 09 '22 at 19:42
3 Answers
It’s not true in general. Let $\mathscr{A}\,$ be an uncountable family of pairwise almost disjoint infinite subsets of $\omega$ (i.e., distinct members of $\mathscr{A}\,$ have finite intersections). Let $X=\omega\cup\mathscr{A}\,$. Points of $\omega$ are isolated, and for each $A\in\mathscr{A}\,$, $$\Big\{\{A\}\cup (A\setminus F):F\subseteq \omega\text{ is finite}\Big\}$$ is a local base at $A$. ($X$ is an example of a Mrówka $\Psi$-space.) It’s easy to see that $X$ is Tikhonov, zero-dimensional, separable, and locally compact, but $$\Big\{\{A\}\cup\omega:A\in\mathscr{A}\,\Big\}$$ is an open cover of $X$ with no countable subcover, so $X$ is not Lindelöf. However, a locally compact space is Lindelöf iff it’s $\sigma$-compact, so $X$ cannot be $\sigma$-compact. (Of course it’s easy enough to see directly that $X$ is not $\sigma$-compact: if $X=\bigcup_n Y_n$, some $Y_n\cap\mathscr{A}\,$ must be infinite, and then $Y_n$ cannot be compact.)
- 631,399
The following is counterexample 65 in Counterexamples in Topology, the rational sequence topology. Let $X=\mathbb{R}$ and for each $r\in\mathbb{R}$, pick a sequence $(q_n^r)$ of rationals converging to $r$. Let the basis of the topology be all sets of the form $\{q_n^r,q_{n+1}^r,\ldots\}\cup\{r\}$ for some $r$ and $n$ and all sets of the form $\{q\}$ with $q$ rational. The space is separable, since every basic open set contains a rational number. The space is Hausdorff, since sequences converging to different points are eventually in disjoint neighborhoods. The space is locally compact, since $\{q_1^r,q_2^r,\ldots\}\cup\{r\}$ is a compact neighborhood of $r$. But a compact set can contain only finitely many irrational numbers, and since the set of irrational numbers is uncountable, the space is not $\sigma$-compact.
- 34,865
-
2This is of course a Mrówka $\Psi$-space: the sets $$\Big{{q_n^r:r\in\mathbb{Z}^+}:r\in\mathbb{R}\setminus\mathbb{Q}\Big}$$ are an almost disjoint family in $\mathbb{Q}$. (It’s one of several slick ways of constructing such a family of cardinality $2^\omega$.) – Brian M. Scott Jan 05 '12 at 00:53
-
Note that Jones' lemma implies that this space is not normal. @BrianM.Scott for a proper $\Psi$, shouldn't we have m.a.d. family; I'm not sure the rational sequence topology is homeomorphic to a Mrówka space based on a m.a.d. family (the maximality gives pseudocompactness). Do you know? – Henno Brandsma Jan 05 '12 at 18:53
-
@Henno: I’ve seen the term used both ways; I tend to give it the more general sense. Here $\mathbb{Z}$ is a closed discrete set of isolated points, which you won’t have in a $\Psi$ in the narrow sense. – Brian M. Scott Jan 06 '12 at 00:36
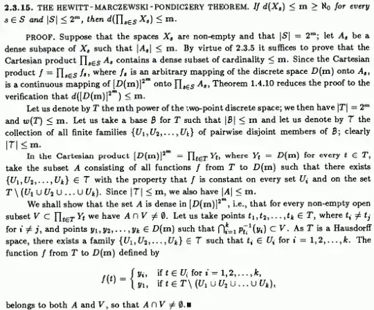
A simple counterexample is a separable compact space without a point which is not a $G_\delta$ set, for instance, a Tychonoff cube $X=[0,1]^\lambda$, where $\omega_1\le\lambda\le\frak c$, without any its point. Indeed, the space $X$ is compact by Tychonoff’s Theorem and separable by Hewitt-Marczewski-Pondiczeri’s Theorem, see Ryszard Engelking’s “General Topology” 2.3.15 below.
- 106,166
