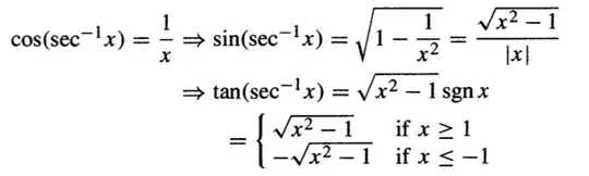
$$\tan \left(\sec ^{-1}(x)\right)$$
I know that sec(?)=$\frac{x}{1}$ and that sec=hyp/adj, therefore I conclude that hyp=x and adj=1 and that op=$\sqrt{x^2-1}$
Since Tan = opp/adj I thought the answer was the same as op. However I do not understand how this is done? cause my conclusion is wrong! The answer provided is this:

