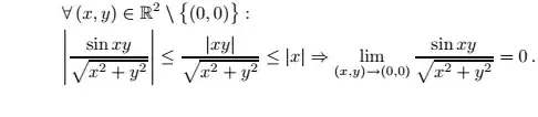
Find the limit of the following function $f(x,y)$
$$\lim_{(x,y)\rightarrow (0,0)} \frac{\sin(xy)}{ \sqrt{x^2+y^2}}$$
What i did was to use polar coordinates,by letting $x=rcosa$ and $y=rsinb$ but because of
the $sin(xy)$ at the numerator, i dont think this method is suitable. I also tried
squeeze
theorem but since $sin(xy)$<$xy$ is not true when $xy$<0
i dont think this method works as
well. Could anyone help me with this. Thanks
