41

I want to find a closed form for this integral: $$I=\int_0^1\frac{\ln^2x}{\sqrt{x^2-x+1}}dx\tag1$$ Mathematica and Maple cannot evaluate it directly, and I was not able to find it in tables. A numeric approximation for it is $$I\approx2.100290124838430655413586565140170651784798511276914224...\tag2$$ (click here to see more digits).

Mathematica is able to find a closed form for a parameterized integral in terms of the Appell hypergeometric function: $$I(a)=\int_0^1\frac{x^a}{\sqrt{x^2-x+1}}dx\\=\frac1{a+1}F_1\left(a+1;\frac{1}{2},\frac{1}{2};a+2;(-1)^{\small1/3},-(-1)^{\small2/3}\right).\tag3$$ I suspect this expression could be rewritten in a simpler form, but I could not find it yet.

It's easy to see that $I=I''(0),$ but it's unclear how to find a closed-form derivative of the Appell hypergeometric function with respect to its parameters.

Could you help me to find a closed form for $I$?


Update: Numerical calculations suggest that for all complex $z$ with $\Re(z)>0$ the following functional equation holds: $$z\,I(z-1)-\!\left(z+\tfrac12\right)\,I(z)+(z+1)\,I(z+1)=1.\tag4$$

  • It can be rewritten as $~\displaystyle\int_{-\frac\pi6}^\frac\pi6\bigg(\ln\frac{\sqrt3~\tan x+1}2\bigg)^2\frac{dx}{\cos x}.~$ – Lucian Sep 04 '14 at 06:04
  • Another equivalent form of the integral is $\displaystyle I=\frac8\pi\Re{\large\int}_0^1\frac{\operatorname{Li}_3!\left(\frac12\left(1-x \sqrt{-3}\right)\right)}{\left(1-x\sqrt{-3}\right),\sqrt{1-x^2}}dx.$ – Vladimir Reshetnikov Sep 04 '14 at 16:21
  • 10
    This looks promising or perhaps not: $$ 2\int_0^1\frac{\ln^2\left(\frac{1-t^2}{1+2t}\right)}{1+2t}\ dt. $$ – Tunk-Fey Sep 04 '14 at 20:03

4 Answers4

80

Edited for a more concise derivation:

Define $\mathcal{I}$ to be the value of the definite integral,

$$\mathcal{I}:=\int_{0}^{1}\frac{\ln^{2}{\left(x\right)}}{\sqrt{x^{2}-x+1}}\,\mathrm{d}x.\tag{1}$$

The definite integral $\mathcal{I}$ is found to have as an approximate numerical value

$$\mathcal{I}\approx2.10029.\tag{2}$$


We begin by transforming the integral via an Euler substitution of the first kind:

$$\sqrt{x^{2}-x+1}=x+t\implies x=\frac{1-t^{2}}{1+2t},\tag{3}$$

$$\implies\mathrm{d}x=\frac{\left(-2\right)\left(1+t+t^{2}\right)}{\left(1+2t\right)^{2}}\,\mathrm{d}t,$$

$$\implies\sqrt{x^{2}-x+1}=\frac{1-t^{2}}{1+2t}+t=\frac{1+t+t^{2}}{1+2t}.$$

Under the transformation $(3)$, the integral $\mathcal{I}$ becomes

$$\begin{align} \mathcal{I} &=\int_{0}^{1}\frac{\ln^{2}{\left(x\right)}}{\sqrt{x^{2}-x+1}}\,\mathrm{d}x\\ &=2\int_{0}^{1}\frac{\ln^{2}{\left(\frac{1-t^{2}}{1+2t}\right)}}{1+2t}\,\mathrm{d}t;~~~\small{\left[\sqrt{x^{2}-x+1}=x+t\right]}\\ &=2\int_{0}^{1}\frac{\left[\ln{\left(1-t\right)}+\ln{\left(1+t\right)}-\ln{\left(1+2t\right)}\right]^{2}}{1+2t}\,\mathrm{d}t.\tag{4}\\ \end{align}$$

Next, using the algebraic identity

$$\left(a+b-c\right)^{2}=a^{2}+2b^{2}-\left(a-b\right)^{2}+\left(a-c\right)^{2}-2bc,$$

with $a=\ln{\left(1-t\right)}\land b=\ln{\left(1+t\right)}\land c=\ln{\left(1+2t\right)}$, we may expand the integral $\mathcal{I}$ as a sum of five simpler logarithmic integrals:

$$\begin{align} \mathcal{I} &=2\int_{0}^{1}\frac{\left[\ln{\left(1-t\right)}+\ln{\left(1+t\right)}-\ln{\left(1+2t\right)}\right]^{2}}{1+2t}\,\mathrm{d}t\\ &=2\int_{0}^{1}\frac{\ln^{2}{\left(1-t\right)}}{1+2t}\,\mathrm{d}t+4\int_{0}^{1}\frac{\ln^{2}{\left(1+t\right)}}{1+2t}\,\mathrm{d}t\\ &~~~~~-2\int_{0}^{1}\frac{\left[\ln{\left(1-t\right)}-\ln{\left(1+t\right)}\right]^{2}}{1+2t}\,\mathrm{d}t\\ &~~~~~+2\int_{0}^{1}\frac{\left[\ln{\left(1-t\right)}-\ln{\left(1+2t\right)}\right]^{2}}{1+2t}\,\mathrm{d}t\\ &~~~~~-4\int_{0}^{1}\frac{\ln{\left(1+t\right)}\ln{\left(1+2t\right)}}{1+2t}\,\mathrm{d}t\\ &=2\int_{0}^{1}\frac{\ln^{2}{\left(1-t\right)}}{1+2t}\,\mathrm{d}t+4\int_{0}^{1}\frac{\ln^{2}{\left(1+t\right)}}{1+2t}\,\mathrm{d}t\\ &~~~~~-2\int_{0}^{1}\frac{\ln^{2}{\left(\frac{1-t}{1+t}\right)}}{1+2t}\,\mathrm{d}t+2\int_{0}^{1}\frac{\ln^{2}{\left(\frac{1-t}{1+2t}\right)}}{1+2t}\,\mathrm{d}t\\ &~~~~~-4\int_{0}^{1}\frac{\ln{\left(1+t\right)}\ln{\left(1+2t\right)}}{1+2t}\,\mathrm{d}t.\tag{5}\\ \end{align}$$

Now, we'll find it convenient to introduce the following two auxiliary functions:

$$J{\left(z\right)}:=\int_{0}^{1}\frac{\ln^{2}{\left(y\right)}}{1+zy}\,\mathrm{d}y;~~~\small{z\ge-1},\tag{6a}$$

and

$$H{\left(a,c\right)}:=\int_{0}^{1}\frac{\ln^{2}{\left(1+ay\right)}}{1+cy}\,\mathrm{d}y;~~~\small{a\ge-1\land c>-1}.\tag{6b}$$

As we shall see, the integral $\mathcal{I}$ can be expressed entirely in terms of the auxiliary functions $J$ and $H$, and hence, entirely in terms of elementary functions and the standard polylogarithms:

$$\begin{align} \mathcal{I} &=2\int_{0}^{1}\frac{\ln^{2}{\left(1-t\right)}}{1+2t}\,\mathrm{d}t+4\int_{0}^{1}\frac{\ln^{2}{\left(1+t\right)}}{1+2t}\,\mathrm{d}t\\ &~~~~~-2\int_{0}^{1}\frac{\ln^{2}{\left(\frac{1-t}{1+t}\right)}}{1+2t}\,\mathrm{d}t+2\int_{0}^{1}\frac{\ln^{2}{\left(\frac{1-t}{1+2t}\right)}}{1+2t}\,\mathrm{d}t\\ &~~~~~-\int_{0}^{1}\frac{4\ln{\left(1+t\right)}\ln{\left(1+2t\right)}}{1+2t}\,\mathrm{d}t\\ &=2\int_{0}^{1}\frac{\ln^{2}{\left(u\right)}}{3-2u}\,\mathrm{d}u;~~~\small{\left[1-t=u\right]}\\ &~~~~~+4\,H{\left(1,2\right)}\\ &~~~~~-\int_{0}^{1}\frac{4\ln^{2}{\left(v\right)}}{\left(3-v\right)\left(1+v\right)}\,\mathrm{d}v;~~~\small{\left[\frac{1-t}{1+t}=v\right]}\\ &~~~~~+2\int_{0}^{1}\frac{\ln^{2}{\left(w\right)}}{1+2w}\,\mathrm{d}w;~~~\small{\left[\frac{1-t}{1+2t}=w\right]}\\ &~~~~~\small{-\left(\left[\ln{\left(1+t\right)}\ln^{2}{\left(1+2t\right)}\right]_{0}^{1}-\int_{0}^{1}\frac{\ln^{2}{\left(1+2t\right)}}{1+t}\,\mathrm{d}t\right)};~~~\small{I.B.P.s}\\ &=\frac23\int_{0}^{1}\frac{\ln^{2}{\left(u\right)}}{1-\frac23u}\,\mathrm{d}u+4\,H{\left(1,2\right)}\\ &~~~~~-\frac13\int_{0}^{1}\frac{\ln^{2}{\left(v\right)}}{1-\frac13v}\,\mathrm{d}v-\int_{0}^{1}\frac{\ln^{2}{\left(v\right)}}{1+v}\,\mathrm{d}v+2\,J{\left(2\right)}\\ &~~~~~-\ln{(2)}\ln^{2}{(3)}+H{\left(2,1\right)}\\ &=\frac23\,J{\left(-\frac23\right)}+4\,H{\left(1,2\right)}-\frac13\,J{\left(-\frac13\right)}\\ &~~~~~-J{\left(1\right)}+2\,J{\left(2\right)}-\ln{(2)}\ln^{2}{(3)}+H{\left(2,1\right)}.\tag{7}\\ \end{align}$$

The function $H$ can be expressed in terms of $J$, dilogarithms, and elementary functions. Define $\gamma:=\frac{a-c}{c}$. For $0<a\land0<c$, we have $-1<\gamma$ and

$$\begin{align} H{\left(a,c\right)} &=\int_{0}^{1}\frac{\ln^{2}{\left(1+ay\right)}}{1+cy}\,\mathrm{d}y\\ &=\int_{\frac{1}{1+a}}^{1}\frac{\ln^{2}{\left(x\right)}}{x\left[c+\left(a-c\right)x\right]}\,\mathrm{d}x;~~~\small{\left[\frac{1}{1+ay}=x\right]}\\ &=\frac{1}{c}\int_{\frac{1}{1+a}}^{1}\frac{\ln^{2}{\left(x\right)}}{x}\,\mathrm{d}x-\frac{a-c}{c}\int_{\frac{1}{1+a}}^{1}\frac{\ln^{2}{\left(x\right)}}{c+\left(a-c\right)x}\,\mathrm{d}x\\ &=\frac{1}{3c}\ln^{3}{\left(1+a\right)}-\frac{a-c}{c^{2}}\int_{\frac{1}{1+a}}^{1}\frac{\ln^{2}{\left(x\right)}}{1+\left(\frac{a-c}{c}\right)x}\,\mathrm{d}x\\ &=\frac{1}{3c}\ln^{3}{\left(1+a\right)}-\frac{\gamma}{c}\int_{\frac{1}{1+a}}^{1}\frac{\ln^{2}{\left(x\right)}}{1+\gamma x}\,\mathrm{d}x\\ &=\frac{1}{3c}\ln^{3}{\left(1+a\right)}-\frac{\gamma}{c}\int_{0}^{1}\frac{\ln^{2}{\left(x\right)}}{1+\gamma x}\,\mathrm{d}x\\ &~~~~~+\frac{\gamma}{c}\int_{0}^{\frac{1}{1+a}}\frac{\ln^{2}{\left(x\right)}}{1+\gamma x}\,\mathrm{d}x\\ &=\frac{1}{3c}\ln^{3}{\left(1+a\right)}-\frac{\gamma}{c}J{\left(\gamma\right)}\\ &~~~~~+\frac{\gamma}{c\left(1+a\right)}\int_{0}^{1}\frac{\ln^{2}{\left(\frac{w}{1+a}\right)}}{1+\left(\frac{\gamma}{1+a}\right)w}\,\mathrm{d}w;~~~\small{\left[\left(1+a\right)x=w\right]}\\ &=\frac{1}{3c}\ln^{3}{\left(1+a\right)}-\left(\frac{a-c}{c^{2}}\right)J{\left(\frac{a-c}{c}\right)}\\ &~~~~~\small{+\frac{\gamma}{c\left(1+a\right)}\int_{0}^{1}\frac{\ln^{2}{\left(w\right)}-2\ln{\left(w\right)}\ln{\left(1+a\right)}+\ln^{2}{\left(1+a\right)}}{1+\left(\frac{\gamma}{1+a}\right)w}\,\mathrm{d}w}\\ &=\frac{1}{3c}\ln^{3}{\left(1+a\right)}-\left(\frac{a-c}{c^{2}}\right)J{\left(\frac{a-c}{c}\right)}\\ &~~~~~+\frac{\gamma}{c\left(1+a\right)}\int_{0}^{1}\frac{\ln^{2}{\left(w\right)}}{1+\left(\frac{\gamma}{1+a}\right)w}\,\mathrm{d}w\\ &~~~~~-\frac{2}{c}\ln{\left(1+a\right)}\int_{0}^{1}\frac{\left(\frac{\gamma}{1+a}\right)\ln{\left(w\right)}}{1+\left(\frac{\gamma}{1+a}\right)w}\,\mathrm{d}w\\ &~~~~~+\frac{1}{c}\ln^{2}{\left(1+a\right)}\int_{0}^{1}\frac{\left(\frac{\gamma}{1+a}\right)}{1+\left(\frac{\gamma}{1+a}\right)w}\,\mathrm{d}w\\ &=\frac{1}{3c}\ln^{3}{\left(1+a\right)}-\left(\frac{a-c}{c^{2}}\right)J{\left(\frac{a-c}{c}\right)}\\ &~~~~~+\frac{\gamma}{c\left(1+a\right)}\,J{\left(\frac{\gamma}{1+a}\right)}\\ &~~~~~+\frac{2}{c}\ln{\left(1+a\right)}\int_{0}^{1}\frac{\ln{\left(1+\left(\frac{\gamma}{1+a}\right)w\right)}}{w}\,\mathrm{d}w\\ &~~~~~+\frac{1}{c}\ln^{2}{\left(1+a\right)}\ln{\left(1+\left(\frac{\gamma}{1+a}\right)\right)}\\ &=\frac{1}{3c}\ln^{3}{\left(1+a\right)}-\left(\frac{a-c}{c^{2}}\right)J{\left(\frac{a-c}{c}\right)}\\ &~~~~~+\frac{a-c}{c^{2}\left(1+a\right)}\,J{\left(\frac{a-c}{c\left(1+a\right)}\right)}\\ &~~~~~-\frac{2}{c}\ln{\left(1+a\right)}\operatorname{Li}_{2}{\left(-\left(\frac{\gamma}{1+a}\right)\right)}\\ &~~~~~+\frac{1}{c}\ln^{2}{\left(1+a\right)}\ln{\left(\frac{a\left(1+c\right)}{\left(1+a\right)c}\right)}\\ &=\frac{a-c}{c^{2}\left(1+a\right)}\,J{\left(\frac{a-c}{c\left(1+a\right)}\right)}-\frac{a-c}{c^{2}}\,J{\left(\frac{a-c}{c}\right)}\\ &~~~~~-\frac{2}{c}\ln{\left(1+a\right)}\operatorname{Li}_{2}{\left(\frac{c-a}{c\left(1+a\right)}\right)}\\ &~~~~~+\frac{1}{3c}\ln^{3}{\left(1+a\right)}+\frac{1}{c}\ln^{2}{\left(1+a\right)}\ln{\left(\frac{a\left(1+c\right)}{\left(1+a\right)c}\right)}.\tag{8}\\ \end{align}$$

The function $J$ reduces to the trilogarithm. For $-1\le z\land z\neq0$,

$$\begin{align} J{\left(z\right)} &=\int_{0}^{1}\frac{\ln^{2}{\left(y\right)}}{1+zy}\,\mathrm{d}y\\ &=-\frac{2}{z}\operatorname{Li}_{3}{\left(-z\right)}.\tag{9}\\ \end{align}$$

Thus, continuing from where we left off at the last line of $(7)$,

$$\begin{align} \mathcal{I} &=\frac23\,J{\left(-\frac23\right)}-\frac13\,J{\left(-\frac13\right)}-J{\left(1\right)}+2\,J{\left(2\right)}\\ &~~~~~+4\,H{\left(1,2\right)}+H{\left(2,1\right)}-\ln{(2)}\ln^{2}{(3)}\\ &=2\operatorname{Li}_{3}{\left(\frac23\right)}-2\operatorname{Li}_{3}{\left(\frac13\right)}+2\operatorname{Li}_{3}{\left(-1\right)}-2\operatorname{Li}_{3}{\left(-2\right)}\\ &~~~~~\small{+4\left[-\operatorname{Li}_{3}{\left(\frac14\right)}+\operatorname{Li}_{3}{\left(\frac12\right)}-\ln{(2)}\operatorname{Li}_{2}{\left(\frac14\right)}-\frac56\ln^{3}{(2)}+\frac12\ln^{2}{(2)}\ln{(3)}\right]}\\ &~~~~~\small{+\left[2\operatorname{Li}_{3}{\left(-1\right)}-2\operatorname{Li}_{3}{\left(-\frac13\right)}-\ln{(9)}\operatorname{Li}_{2}{\left(-\frac13\right)}-\frac23\ln^{3}{(3)}+\ln{(4)}\ln^{2}{(3)}\right]}\\ &~~~~~-\ln{(2)}\ln^{2}{(3)}\\ &=2\operatorname{Li}_{3}{\left(\frac23\right)}-2\operatorname{Li}_{3}{\left(\frac13\right)}-2\operatorname{Li}_{3}{\left(-\frac13\right)}-2\operatorname{Li}_{3}{\left(-2\right)}\\ &~~~~~-4\operatorname{Li}_{3}{\left(\frac14\right)}+4\operatorname{Li}_{3}{\left(\frac12\right)}+4\operatorname{Li}_{3}{\left(-1\right)}\\ &~~~~~-4\ln{(2)}\operatorname{Li}_{2}{\left(\frac14\right)}-2\ln{(3)}\operatorname{Li}_{2}{\left(-\frac13\right)}\\ &~~~~~-\frac{10}{3}\ln^{3}{(2)}+2\ln^{2}{(2)}\ln{(3)}+\ln{(2)}\ln^{2}{(3)}-\frac23\ln^{3}{(3)}.\blacksquare\\ \end{align}$$


For $z\notin[1,\infty)$,

$$\small{\operatorname{Li}_{3}{\left(z\right)}=-\operatorname{Li}_{3}{\left(\frac{z}{z-1}\right)}-\operatorname{Li}_{3}{\left(1-z\right)}+\frac{\ln^3{\left(1-z\right)}}{6}-\frac{\ln{\left(z\right)}\ln^2{\left(1-z\right)}}{2}+\frac{\pi^2}{6}\ln{\left(1-z\right)}+\zeta{(3)}}.$$

For $0<z<1$,

$$\small{\operatorname{Li}_{3}{\left(z\right)}+\operatorname{Li}_{3}{\left(1-z\right)}+\operatorname{Li}_{3}{\left(\frac{z}{z-1}\right)}=\frac{\ln^3{\left(1-z\right)}}{6}-\frac{\ln{\left(z\right)}\ln^2{\left(1-z\right)}}{2}+\frac{\pi^2}{6}\ln{\left(1-z\right)}+\zeta{(3)}}.$$

Setting $z=\frac13$,

$$\small{\operatorname{Li}_{3}{\left(\frac13\right)}+\operatorname{Li}_{3}{\left(\frac23\right)}+\operatorname{Li}_{3}{\left(-\frac12\right)}=\frac{\ln^3{\left(\frac23\right)}}{6}-\frac{\ln{\left(\frac13\right)}\ln^2{\left(\frac23\right)}}{2}+\zeta{(2)}\ln{\left(\frac23\right)}+\zeta{(3)}}.$$

$$\small{\operatorname{Li}_{3}{\left(\frac13\right)}+\operatorname{Li}_{3}{\left(\frac23\right)}+\operatorname{Li}_{3}{\left(-\frac12\right)}=\frac{\ln^{3}{(2)}-3\ln{(2)}\ln^{2}{(3)}+2\ln^{3}{(3)}}{6}+\zeta{(2)}\ln{\left(\frac23\right)}+\zeta{(3)}}$$

$$\small{\operatorname{Li}_{3}{\left(\frac13\right)}+\operatorname{Li}_{3}{\left(\frac23\right)}+\operatorname{Li}_{3}{\left(-\frac12\right)}=\frac{\ln^{2}{\left(\frac32\right)}\ln{\left(18\right)}}{6}-\zeta{(2)}\ln{\left(\frac32\right)}+\zeta{(3)}}$$


David H
  • 32,536
  • 14
    Go David! +1! $\ddot\smile$ – Tunk-Fey Sep 06 '14 at 06:58
  • @Tunk-Fey Go you for spotting the simplification brought on by the Euler substitution! It seems that was really the key insight for this problem. – David H Sep 06 '14 at 07:15
  • 9
    I've to make a confession to you David, truth be told I've already had an idea to answer this OP since I posted my comment (I made my current answer two days ago) but I resisted to answer it and I plant to answer it when this is a bounty question. :P – Tunk-Fey Sep 06 '14 at 07:21
  • @DavidH Good job! Do you use both $:=$ and $=:$ to denote an equality by definition? – Vladimir Reshetnikov Sep 06 '14 at 18:12
  • @VladimirReshetnikov Yes. I use $:=$ to define symbols, and I use $=:$ to label expressions. Also, before you compliment my answer I should warn you I'm having more trouble finishing it than I expected. Evaluating $I_4$ is turning out to be very difficult... :/ – David H Sep 06 '14 at 18:21
  • 5
    David, if you allow me to assist in evaluating $I_4$, you may refer to my ADDENDUM in my edited answer. – Tunk-Fey Sep 07 '14 at 12:06
  • 4
    @Tunk-Fey Your assistance is certainly appreciated, and I'm a little miffed I didn't notice that myself! I've been busy this week, but I finally got around to applying your suggestion and completing my answer. While it is numerically correct, I haven't yet verified it to be equivalent to Cleo's value. But this is probably just a matter of using the right polylog identities. TBC... – David H Sep 11 '14 at 05:35
  • @Tunk-Fey Cleo's answer confirmed! =D – David H Sep 21 '14 at 08:33
  • 4
    Like Tunk-Fey said in his answer, your calculation of $I_1,\cdots,I_6$ can be shortened by using his technique and equation $(5)$ – Anastasiya-Romanova 秀 Oct 11 '14 at 15:50
40

$$I=12\operatorname{Li}_3\left(\frac13\right)+20\operatorname{Li}_3\left(\frac23\right)+\frac{32}3\operatorname{Li}_2\left(\frac23\right)\ln3+\left(4\ln2+\frac{10}{3}\ln3\right)\operatorname{Li}_2\left(\frac34\right)\\-\frac{163}6\zeta(3)+8\ln^32+\frac23\ln^22\cdot\ln3-\frac23\ln2\cdot\ln^23-\frac{7\pi^2}3\ln2+\frac{11\pi^2}{9}\ln3.$$

Cleo
  • 1
10

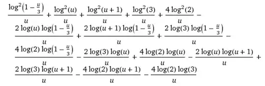
I have an answer, but it is somewhat too lengthy and messy so I use Wolfram Alpha to help me out. First we use Euler substitution by setting $t+x=\sqrt{x^2-x+1}$, then we have $$ x=\frac{1-t^2}{1+2t}\qquad\color{red}{\Rightarrow}\qquad dx=-\frac{2(1+t+t^2)}{(1+2t)^2} $$ and $$ \sqrt{x^2-x+1}=\frac{1+t+t^2}{1+2t}. $$ Hence \begin{align} I=\int_0^1\frac{\ln^2x}{\sqrt{x^2-x+1}}dx&=2\int_0^1\frac{\ln^2\left(\frac{1-t^2}{1+2t}\right)}{1+2t}\ dt\\ &=2\int_0^1\frac{\bigg[\ln(1-t)+\ln(1+t)-\ln(1+2t)\bigg]^2}{1+2t}\ dt.\tag1 \end{align} Set $u=1+2t\ \color{red}{\Rightarrow}\ t=\dfrac{1+u}{2}$ and expand the integrand, we have \begin{align} \frac{\bigg[\ln\left(\frac{3-u}{2}\right)+\ln\left(\frac{1+u}{2}\right)-\ln u\bigg]^2}u&=\frac{\bigg[\ln3-2\ln2+\ln\left(1-\frac{u}{3}\right)+\ln\left(1+u\right)-\ln u\bigg]^2}u \end{align} Let from this part Wolfram Alpha takes over since it is very cumbersome and complicated, the integrand turns out to be

enter image description here

It seems none of the integrand are difficult to integrate it term-wise, either by substitution, IBP multiple times, or series expansion, but of course it would be tedious so let Wolfram Alpha do it. Let the expanded form of integrand be $f(u)$, then $(1)$ becomes $$ I=\int_1^3 f(u)\ du\tag2 $$ and the indefinite integral of $(2)$ is

enter image description here

Unfortunately, Wolfram Alpha fails to give an answer like @Cleo's after substituting the limits of integration. Perhaps, Mathematica or Maple is able to give the closed-form. I hope David H can complete his answer and can prove @Cleo's claim. Wish him luck!!


ADDENDUM :

I hope David H allow me to assist in the evaluation of $\color{blue}{I_4}$, of course he will take all the credit for evaluating this problem since he has done the biggest part of the calculation.

Consider \begin{align} J=\int_0^1\frac{1}{1+2t}\ln^2\left(\frac{1-t}{1+t}\right)\ dt. \end{align} It's easy to see that \begin{align} J&=\int_0^1\frac{\ln^2(1-t)}{1+2t}\ dt+\int_0^1\frac{\ln^2(1+t)}{1+2t}\ dt-2\int_0^1\frac{\ln(1-t)\ln(1+t)}{1+2t}\ dt\\ &=\color{red}{I_1}+\color{green}{I_2}-2\color{blue}{I_4}.\tag3 \end{align} To evaluate $J$, let $u=\dfrac{1-t}{1+t}$ then we have $$ t=\frac{1-u}{1+u}\quad ,\ 1+2t=\frac{3-u}{1+u}\ ,\quad\text{and}\quad dt=-\frac{4}{(1+u)^2}\ du. $$ Hence \begin{align} J&=4\int_0^1\frac{\ln^2u}{(3-u)(1+u)}\ dt\\ &={\large\int_0^1}\left[\frac{\ln^2u}{u+1}-\frac{\ln^2u}{u-3}\right]\ du\tag4 \end{align} where it is easy to prove that $$ \int\frac{\ln^2x}{x+a}\ dx=2\operatorname{Li}_2\left(-\frac xa\right)\ln x-2\operatorname{Li}_3\left(-\frac xa\right)+\ln\left(\frac{x+a}a\right)\ln^2x+C.\tag5 $$ The rest part is just technical matter and I leave it to David. Note that, the similar technique can be used to evaluate $I_5$ and $I_6$ in his calculation.

Tunk-Fey
  • 20,650
9

I have not been either to find a closed form expression for this integral; so forgive me if what I send you is of no interest.

What I did is to expand the denominator as a Taylor series at $x=0$, which gives $$\frac{1}{\sqrt{x^2-x+1}}=1+\frac{x}{2}-\frac{x^2}{8}-\frac{7 x^3}{16}-\frac{37 x^4}{128}+\frac{23 x^5}{256}+\frac{331 x^6}{1024}+\frac{457 x^7}{2048}-\frac{2413 x^8}{32768}-\frac{17557 x^9}{65536}-\frac{49343 x^{10}}{262144}+O\left(x^{11}\right)$$ and take into account the fact that $$\int x^n\log^2(x)dx=\frac{x^{n+1} \left((n+1)^2 \log ^2(x)-2 (n+1) \log (x)+2\right)}{(n+1)^3}$$ which implies $$\int_0^1 x^n\log^2(x)dx=\frac{2}{(n+1)^3}$$ Using the coefficients, the summation does not seem to converge very fast.

Added later

In a comment to my answer, Vladimir Reshetnikov pointed out that the coefficients of the Taylor series are just $P_n\left(\frac{1}{2}\right)$ (what I totally missed). So, as an infinite series, the result is $$I=\int_0^1\frac{\ln^2x}{\sqrt{x^2-x+1}}dx\tag1=2 \sum_{n=0}^\infty\frac{P_n\left(\frac{1}{2}\right) }{(n+1)^3}$$ for which I did not find any closed form and which has a very slow convergence (adding $10,000$ terms leads to $\simeq 2.100290124838414$).