11

known facts :

$1.$ There are infinitely many Mersenne numbers : $M_p=2^p-1$

$2.$ Every Mersenne number greater than $7$ is of the form : $6k\cdot p +1$ , where $k$ is an odd number

$3.$ There are infinitely many prime numbers of the form $6n+1$ , where $n$ is an odd number

$4.$ If $p$ is prime number of the form $4k+3$ and if $2p+1$ is prime number then $M_p$ is composite

What else one can include in this list above in order to prove (or disprove) that there are infinitely many Mersenne primes ?

Pedja
  • 13,292

2 Answers2

10

It is not known whether or not there are infinitely many Mersenne primes.

Look at Mersenne conjectures, especially Lenstra–Pomerance–Wagstaff conjecture.

Sophie Swett
  • 10,830
Paul
  • 19,636
  • thanks but my question is about known facts..not about conjectures.. – Pedja Dec 08 '11 at 08:28
  • 58
    The only known fact is that the number of Mersenne primes is somewhere between 40 and infinity. – Gerry Myerson Dec 08 '11 at 12:05
  • 3
    Look at "Mersenne prime" in Wikipedia.... Father Marin Mersenne was the scientific Internet of early 17th century Europe, in that he corresponded (by courier, before there were national postal services) with almost all the scientists of Europe.... So if you wanted something to be widely known, you told him. – DanielWainfleet Jan 06 '18 at 17:13
3

A Mersenne number is a string of binary digits of the form ab, where the lengths of a and b are n and n >= 1. The length of ab is 2n. There are two types of Mersenne number. The first type is a periodic binary number where a=b and all the digits of a and b are 1's eg 11111111. The second type is similar to the first, except that the first bit of a is 0, so a<>b, for example 01111111.

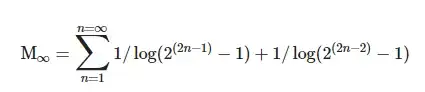
Using the prime number theorem, the total number of Mersenne primes is therefore approximately:

enter image description here

Since the ratio between the successive terms of the series is < 1, D'Alembert's criterion, the series is absolutely convergent. Thus the number of Mersenne primes is finite.

The series converges very slowly, so slowly in fact that for n=512 (the MS Excel floating point limit) only 10 Mersenne primes are approximated, where 14 already exist. This series has not yet been further enumerated.

This work is available in more detail in the appendix of my recent paper

The supplementary materials contain example MS Excel spreadsheets illustrating my approach.

  • I am confused by your argument. Just because the series is convergent does not imply there are a finite number of terms. Is there a step that I missed? – wjmccann Jan 28 '22 at 23:15
  • 1
    The series is convergent with an infinite number of terms. I apologise for your confusion. – Grenville Croll Sep 10 '23 at 01:44