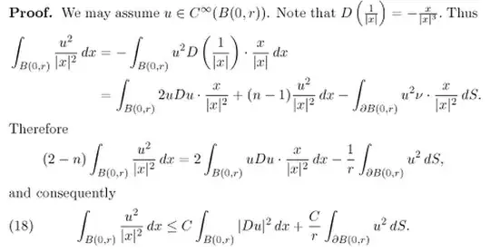
A technical step in proving Hardy's inequality $$ \int_{B(0,r)}\frac{\mu^{2}}{|x|^{2}}dx\le C\int_{B(0,r)}(|D\mu|^{2}+\frac{\mu^{2}}{r^{2}})dx $$ where $n>3, r>0, \mu\in H^{1}(B(0,r))$ is to show that $$ \int_{B(0,r)}\mu D\mu\cdot \frac{x}{|x|^{2}}dx\le C\int _{B(0,r)}|D\mu|^{2}dx+\frac{C}{r}\int_{\partial B(0,r)}\mu^{2}dS $$ (see Evans, Partial Differential Equations, page 297). This seems to be assumed implicitly and should be easy to prove, but I do not know how to show it. My guess is the second term on the right hand side may not even be needed, I added at here for completeness.
One strategy is to regard $\mu D\mu=\frac{1}{2}D(\mu^{2})$, and then use integration by parts. But this create a difficulty that since $udv=uv-vdu$, we have $D\frac{x}{|x|^{2}}=\frac{Dx*|x|^{2}-x*D|x|}{|x|^{4}}=\frac{n}{|x|^{2}}-\frac{1}{2|x|^{3}}$. This term obviously did not show up in the right hand side, and I also do not know how to bound it. Therefore this seems a wrong-headed strategy.
Another strategy, also based on integration by parts is to consider $A=\mu, B=D\mu, C=\frac{x}{|x|^{2}}$. Then this give rise to the same problem since at some point we have to differentiate $DC$. I am sure integration by parts would work, but for the moment I am stuck how to apply it properly in this case. I am looking for a hint, not a solution.
