Integrate , for $ \alpha > 2 $
$ \int_0^{\infty}\!\frac{x-1}{x^\alpha-1}\, dx. $
I would be intertest for any replies or any comments
Integrate , for $ \alpha > 2 $
$ \int_0^{\infty}\!\frac{x-1}{x^\alpha-1}\, dx. $
I would be intertest for any replies or any comments
For any $\alpha>2$ we have: $$\int_{0}^{+\infty}\frac{x-1}{x^\alpha-1}\,dx=\frac{\pi}{\alpha\sin\frac{2\pi}{\alpha}}\tag{1}$$ since the LHS is related with the Euler Beta function and the $\Gamma$ function satisfies: $$\Gamma(z)\Gamma(1-z)=\frac{\pi}{\sin(\pi z)}.$$
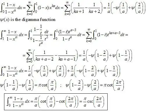
There are probably several methods (direct integration involving hypergeometric2F1 function for example). The method shown in attachment uses known properties of the digamma function.
