Evaluate Algebraically (Sequences and Series): 
Asked
Active
Viewed 133 times
1
-
possible duplicate of Find the sum $\frac{1}{\sqrt{1}+\sqrt{2}} + \frac{1}{\sqrt{2}+\sqrt{3}} + ...+ \frac{1}{\sqrt{99}+\sqrt{100}}$ – hardmath May 24 '14 at 03:49
1 Answers
3
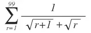
We have
$$\frac{1}{\sqrt{r+1}+\sqrt{r}}=\frac{\sqrt{r+1}-\sqrt{r}}{(\sqrt{r+1}+\sqrt{r})(\sqrt{r+1}-\sqrt{r})}=\frac{\sqrt{r+1}-\sqrt{r}}{r+1-r}=\sqrt{r+1}-\sqrt{r}.$$
So
$$\sum_{r=1}^{99}\frac{1}{\sqrt{r+1}+\sqrt{r}}=\sum_{r=1}^{99} (\sqrt{r+1}-\sqrt{r})=\sqrt{100}-\sqrt{1}=10-1=9.$$
mfl
- 29,849
- 1
- 31
- 52